《全国安全专项整治三年行动计划》核心要点及相关法律法规和标准文件
阅读前小编邀您,先思考:
涉及重大危险源的危险化学品企业安全风险分级管控和隐患排查治理机制应该如何做? 三年安全生产专项整治行动如何安排的,哪些企业面临停产整改? 未取得特种作业许可证上岗,企业会被吊销安全许可证吗? 如何判定评估化工园区的风险等级,高安全风险(A类)和较高安全风险(B类)会面临怎样的处罚? 企业如何完成安全风险隐患自查工作,都应该自查哪些内容?
“两重点一重大”生产装置储存设施可燃气体和有毒气体泄漏检测报警装置、紧急切断装置、自动化控制系统如何设置?使用率和投用率需要达到多少?
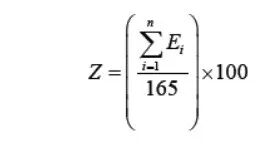
2020年4月1日,国务院安全生产委员会印发了安委[2020]3号文件《全国安全生产专项整治三年行动计划》通知,在全国部署开展安全生产专项整治三年行动。专项整治三年行动从2020年4月启动至2022年12月结束,分为动员部署、排查整治、集中攻坚和巩固提升四个阶段。 《全国安全生产专项整治三年行动计划》包括专项整治三年行动计划总方案和11个专项实施方案,分别是“学习宣传贯彻习近平总书记关于安全生产重要论述”、“落实企业安全生产主体责任”2个专题,危险化学品、煤矿、非煤矿山、消防、道路运输、交通运输(民航、铁路、邮政、水上和城市轨道交通)和渔业船舶、城市建设、工业园区等功能区、危险废物等安全整治9个专项。 摘选:《全国安全生产专项整治三年行动计划》 二、主要任务 (一)学习贯彻习近平总书记关于安全生产重要论述专题。 五是有效防范安全生产风险。建立公共安全隐患排查和安全预防控制体系,建立安全风险评估制度,修订完善安全设防标准。突出重点行业领域开展专项整治。深入贯彻落实《中共中央国务院关于推进安全生产领域改革发展的意见》。 (三)危险化学品安全整治。一是制定贯彻落实《中共中央办公厅国务院办公厅关于全面加强危险化学品安全生产工作的意见》具体方案,推动各项制度措施落地见效。二是完善和落实危险化学品企业安全风险隐患排查治理导则,分级分类排查治理四类安全风险,2022年涉及重大危险源的危险化学品企业完成安全风险分级管控和隐患排查治理机制建设。四是积极推广应用泄漏检测、化工过程安全管理等先进技术方法,2022年所有涉及硝化、氯化、氟化、重氮化、过氧化工艺装置的上下游配套装置必须实现自动化控制。 《中共中央办公厅国务院办公厅关于全面加强危险化学品安全生产工作的意见》 二、强化安全风险管控 (一)深入开展安全风险排查。按照《化工园区安全风险排查治理导则(试行)》和《危险化学品企业安全风险隐患排查治理导则》等相关制度规范,全面开展安全风险排查和隐患治理。严格落实地方党委和政府领导责任,结合实际细化排查标准,对危险化学品企业、化工园区或化工集中区(以下简称化工园区),组织实施精准化安全风险排查评估,分类建立完善安全风险数据库和信息管理系统,区分“红、橙、黄、蓝”四级安全风险,突出一、二级重大危险源和有毒有害、易燃易爆化工企业,按照“一企一策”、“一园一策”原则,实施最严格的治理整顿。制定实施方案,深入组织开展危险化学品安全三年提升行动。 三、强化全链条安全管理 (五)加强重点环节安全管控。对现有化工园区全面开展评估和达标认定。对新开发化工工艺进行安全性审查。2020年年底前实现涉及“两重点一重大”的化工装置或储运设施自动化控制系统装备率、重大危险源在线监测监控率均达到100%。 摘选:《全国安全生产专项整治三年行动计划》 三、进度安排 从2020年3月至2022年12月,分四个阶段进行。 (一)动员部署(2020年3月)。提请国务院安委会全体会议研究审议全国安全生产专项整治三年行动计划和11个专项整治方案,并报党中央、国务院批准印发;召开全国安全生产电视电话会议,部署启动全面开展专项整治三年行动。各地区、各有关部门和中央企业制定实施方案,对开展专项整治三年行动作出具体安排。 (二)排查整治(2020年5月至2020年12月)。各地区、各有关部门对本辖区、本行业领域安全风险隐患全面排查,建立问题隐患和制度措施“两个清单”,制定时间表路线图,明确整改责任单位和整改要求,坚持边查边改、立查立改,加快推进实施,整治工作取得初步成效。 (三)集中攻坚(2021年)。动态更新“两个清单”,针对重点难点问题,加大专项整治攻坚力度,落实和完善治理措施,推动建立健全公共安全隐患排查和安全预防控制体系,整治工作取得明显成效。 (四)巩固提升(2022年)。结合各地经验做法特别是总结江苏省安全生产专项整治经验,形成一批制度成果,在全国推广。总结全国安全生产专项整治三年行动,着力将党的十八大以来安全生产重要理论和实践创新转化为法规制度,健全长效机制,形成一套较为成熟定型的安全生产制度体系。 各地区、各有关部门分年度总结专项整治三年行动计划开展情况,并报送国务院安委办;2022年12月,国务院安委办对专项整治三年行动进行全面总结评估,提请国务院安委会审议后,上报党中央、国务院。 摘选:《落实企业安全生产主体责任三年行动专题实施方案》 二、重点任务 (二)健全完善企业安全生产管理制度。 4.持续推进企业安全生产标准化建设。各类企业要按照《企业安全生产标准化基本规范》(GB/T33000-2016)和行业专业标准化评定标准的要求自主建设,从目标职责、制度化管理、教育培训、现场管理、安全风险管控、隐患排查治理、应急管理、事故管理和持续改进等八个方面,建立与企业日常安全管理相适应、以安全生产标准化为重点的企业自主安全生产管理体系,实现安全生产现场管理、操作行为、设备设施和作业环境规范化。企业要在安全生产标准化建设、运行过程中,根据人员、设备、环境和管理等因素变化,持续改进风险管控和隐患排查治理工作,有效提升企业安全管理水平。2022年底前,高危行业及规模以上企业均应完成自评工作。 《GB/T33000-2016企业安全生产标准化基本规范》 5.2.4.2 评估 企业应每年至少评估一次安全生产和职业卫生法律法规、标准规范、规章制度、操作规程的适宜性、有效性和执行情况。 摘选:《全国安全生产专项整治三年行动计划》《危险化学品安全专项整治三年行动实施方案》 为加强危险化学品安全专项整治,根据《全国安全生产专项整治三年行动计划》,制定本实施方案。 一、整治目标 到2022年底前,涉及“两重点一重大”生产装置和储存设施的自动化系统装备投用率达到100%、涉及重大危险源企业安全预防控制体系建设率达到100%、化工企业主要负责人和安全管理人员等考核达标率100%,具有化工安全生产相关专业学历和实践经验的执法人员数量达到在职人员的75%以上 二、主要任务 (一)提升危险化学品重大安全风险管控能力。 1.严格高风险化工项目准入条件。制定完善化工产业发展规划,2020年底前制定出台新建化工项目准入条件;2022年底前,设区的市要制定完善危险化学品“禁限控”目录,对涉及光气、氯气、氨气等有毒气体(以下简称有毒气体),硝酸铵、硝基胍、氯酸铵等爆炸危险性化学品(指《危险化学品目录》中危险性类别为爆炸物的危险化学品)的建设项目要严格控制,严禁已淘汰的落后产能异地落户和进园入区; 2.提升化工园区安全风险管控水平。各省级人民政府要建立跨部门联合工作机制,按照《化工园区安全风险排查治理导则(试行)》要求组织开展化工园区(含化工集中区)安全风险排查评估分级工作。2020年10月底前,各省级人民政府要在对本地区化工园区安全风险排查评估分级的基础上,认定并公布化工园区名单。对安全风险等级评估为A级(高安全风险)的化工园区,原则上不得批准新、改、扩建危险化学品建设项目,并纳入重点治理和监管范围,限期整改提升,2021年底前仍为A级的化工园区要予以关闭退出;对安全风险等级评估为B级(较高安全风险)的化工园区,原则上要限制新、改、扩建危险化学品建设项目,2022年底前仍未达到C级或D级的化工园区要予以关闭退出。 《化工园区安全风险排查治理导则(试行)》 8 特殊条款 8.1 按照本导则《化工园区安全风险排查治理检查表》(见附件)对化工园区进行评分,60分以下(不含60分)为高安全风险(A类),60-70分(不含70分)为较高安全风险(B类),70-85分(不含85分)为一般安全风险(C类),85分及以上为较低安全风险(D类) 8.2 化工园区存在以下情况,直接判定为高安全风险(A类): (1)化工园区规划不符合当地总体规划要求或未明确四至范围(四至范围是指东西南北四个方向的边界)。 (2)化工园区未经依法认定。 (3)化工园区未明确安全管理机构。 (4)化工园区外部安全防护距离不符合标准要求。 (5)化工园区内部布局不合理,企业之间存在重大风险叠加或失控。 (6)化工园区内存在在役化工装置未经具有相应资质的单位设计且未通过安全设计诊断的企业。 (7)化工园区内存在涉及危险化工工艺的特种作业人员未取得高中或者相当于高中及以上学历的企业。 附件,化工园区安全风险排查治理检查表 (16)化工园区内危险化学品建设项目应由具有相关工程设计资质的单位设计;涉及“两重点一重大”装置的专业管理人员必须具有大专以上学历、操作人员必须具有高中或者相当于高中及以上文化程度,企业特种作业人员应持证上岗。 0分-化工园区内危险化学品建设项目未由具有相关工程设计资质的单位设计或涉及“两重点一重大”装置的专业管理人员不具有大专以上学历或操作人员不具有高中或者相当于高中及以上文化程度或特种作业人员未持证上岗; 5分-符合要求。 (20)化工园区应能保障双电源供电。供电应满足化工园区各企业和化工园区配套设施生产、生活和应急用电需求,电源可靠。 0分-供电不满足保障双电源供电; 5分-符合条件。 (27)化工园区管委会应配备具有化工专业背景的负责人,并建立化工园区管委会领导带班制度;根据企业数量、产业特点、整体安全风险状况,配备满足安全监管需要的人员,其中具有相关化工专业学历或化工安全生产实践经历的人员或注册安全工程师的人员数量不低于安全监管人员的75%。 0分-未配备具有相关化工专业学历或化工安全生产实践经历的人员或注册安全工程师等专业监管人员;或化工园区管委会未配备具有化工专业背景的负责人; 1分-配备了具有相关化工专业学历或化工安全生产实践经历的人员或注册安全工程师等专业监管人员但比例低于75%;或未建立化工园区管委会领导带班制度; 5分-符合要求。 (28)化工园区应按照国家有关要求,制定安全风险分级管控制度,对化工园区内企业进行安全风险分级,加强对红色、橙色安全风险的分析、评估、预警。 0分-未按照国家有关要求,对化工园区内企业进行安全风险分级,并制定安全风险分级管控制度,对红色、橙色安全风险的分析、评估、预警; 5分-符合要求。 (29)化工园区应建设安全监管和应急救援信息平台,构建基础信息库和风险隐患数据库,至少应接入企业重大危险源(储罐区和库区)实时在线监测监控相关数据、关键岗位视频监控、安全仪表等异常报警数据,实现对化工园区内重点场所、重点设施在线实时监测、动态评估和及时自动预警;要建立园区三维倾斜摄影模型,在平台中实时更新园区建设边界、园区内企业边界及分布等基础信息;化工园区应将接入数据上传至省、市级应急管理部门。 0分-未建设平台; 1分-建设了平台,但只有基础信息数据库,未接入其他相关数据; 3分-建设了平台且能实现预警功能; 5分-符合要求。 评分说明: 1.评分时,对各项排查内容按照各自对应的评分标准逐一进行评分。 2.评分按照0-1-3-5评分制,其中:0分表示不符合标准要求,1分表示与标准要求偏差较大,3分表示与标准要求存在部分偏差,5分表示符合标准要求;对具有二元选择性的排查内容,只设5分或0分。 3.采用百分制进行评分,实际分值按如下公式计算: 式中:Z—化工园区实际分值;Ei—单项排查内容分值。 摘选:《危险化学品安全专项整治三年行动实施方案》 二、主要任务 (一)提升危险化学品重大安全风险管控能力。 3.深入开展企业安全风险隐患排查治理。督促辖区内危险化学品企业按照《危险化学品企业安全风险隐患排查治理导则》,在2020年6月底前全面完成安全风险隐患自查工作并制定整改方案,对于重大隐患要依法上报地方有关监管部门并实施挂牌督办,经整改仍达不到安全生产条件的,依法予以关闭,实现规范达标一批、改造提升一批、依法淘汰一批。组织开展危险化学品安全生产许可“回头看”,2020年底前要对安全风险评估等级为“红、橙”的企业对照安全生产许可证发证条件逐一再次进行核查,从源头提升发证企业的安全保障能力。大力推进危险化学品企业安全风险分级管控和隐患排查治理体系建设,2022年底前涉及重大危险源的危险化学品企业要基本完成安全风险分级管控和隐患排查治理双重预防机制建设。 《危险化学品企业安全风险隐患排查治理导则》 2.3 企业应充分利用安全检查表(SCL)、工作危害分析(JHA)、故障类型和影响分析(FMEA)、危险和可操作性分析(HAZOP)等安全风险分析方法,或多种方法的组合,分析生产过程中存在的安全风险;选用风险评估矩阵(RAM)、作业条件危险性分析(LEC)等方法进行风险评估,有效实施安全风险分级管控。 2.4 企业应对涉及“两重点一重大”的生产、储存装置定期开展HAZOP 分析。 2.5 精细化工企业应按要求开展反应安全风险评估。 3 安全风险隐患排查方式及频次 3.1 安全风险隐患排查方式 3.1.2 安全风险隐患排查形式包括日常排查、综合性排查、专业性排查、季节性排查、重点时段及节假日前排查、事故类比排查、复产复工前排查和外聘专家诊断式排查等。 3.2 安全风险隐患排查频次 3.2.1 开展安全风险隐患排查的频次应满足: (1)装置操作人员现场巡检间隔不得大于2小时,涉及“两重点一重大”的生产、储存装置和部位的操作人员现场巡检间隔不得大于1小时; (2)基层车间(装置)直接管理人员(工艺、设备技术人员)、电气、仪表人员每天至少两次对装置现场进行相关专业检查; 3.2.3 企业对涉及“两重点一重大”的生产、储存装置运用HAZOP 方法进行安全风险辨识分析,一般每3年开展一次;对涉及“两重点一重大”和首次工业化设计的建设项目,应在基础设计阶段开展HAZOP 分析工作;对其他生产、储存装置的安全风险辨识分析,针对装置不同的复杂程度,可采用本导则第2.3所述的方法,每5年进行一次。 4 安全风险隐患排查内容 企业应结合自身安全风险及管控水平,按照化工过程安全管理的要求,参照各专业安全风险隐患排查表(见附件),编制符合自身实际的安全风险隐患排查表,开展安全风险隐患排查工作。 4.5 安全风险管理 4.5.3 安全风险分级管控情况,主要包括: (1)企业可接受安全风险标准的制定; (2)对辨识出的安全风险进行分级和制定管控措施的落实; (3)对辨识分析发现的不可接受安全风险,制定管控方案,制定并落实消除、减小或控制安全风险的措施,明确风险防控责任岗位和人员,将风险控制在可接受范围。 4.6 设计管理 4.6.2 开展正规设计或安全设计诊断情况;涉及“两重点一重大”的建设项目设计单位资质符合性情况。 4.6.5 涉及“两重点一重大”装置自动化控制系统的配置情况。 4.6.7 涉及精细化工的建设项目,在编制可行性研究报告或项目建议书前,按规定开展反应安全风险评估情况;国内首次采用的化工工艺,省级有关部门组织专家组进行安全论证情况。 4.8.2 装置运行监测预警及处置情况,主要包括: (1)自动化控制系统设置及对重要工艺参数进行实时监控预警; (2)可燃及有毒气体检测报警设施设置并投用; (3)采用在线安全监控、自动检测或人工分析等手段,有效判断发生异常工况的根源,及时安全处置。 4.8.3 开停车安全管理情况,主要包括: (1)开停车前安全条件的检查确认; (2)开停车前开展安全风险辨识分析、开停车方案的制定、安全措施的编制及落实; (3)开车过程中重要步骤的签字确认,包括装置冲洗、吹扫、气密试验时安全措施的制定,引进蒸汽、氮气、易燃易爆、腐蚀性等危险介质前的流程确认,引进物料时对流量、温度、压力、液位等参数变化情况的监测与流程再确认,进退料顺序和速率的管理,可能出现泄漏等异常现象部位的监控; (4)停车过程中,设备和管线低点处的安全排放操作及吹扫处理后与其他系统切断、确认工作的执行。 4.8.6 重大危险源安全控制设施设置及投用情况,主要包括: (1)重大危险源应配备温度、压力、液位、流量等信息的不间断采集和监测系统以及可燃气体和有毒有害气体泄漏检测报警装置,并具备信息远传、记录、安全预警、信息存储等功能; (2)重大危险源的化工生产装置应装备满足安全生产要求的自动化控制系统; (3)一级或者二级重大危险源,设置紧急停车系统; (4)对重大危险源中的毒性气体、剧毒液体和易燃气体等重点设施,设置紧急切断装置; (5)对涉及毒性气体、液化气体、剧毒液体的一级或者二级重大危险源,应具有独立安全仪表系统; (6)对毒性气体的设施,设置泄漏物紧急处置装置; (7)重大危险源中储存剧毒物质的场所或者设施,设置视频监控系统; (8)处置监测监控报警数据时,监控系统能够自动将超限报警和处置过程信息进行记录并实现留痕。 4.9 设备设施完好性 4.9.2 设备设施管理制度的执行情况,主要包括: (3)仪表自动化控制系统安全管理制度的执行,新(改、扩)建装置和大修装置的仪表自动化控制系统投用前及长期停用后的再次启用前的检查确认、日常维护保养,安全联锁保护系统停运、变更的专业会签和审批。 4.9.3 设备日常管理情况,主要包括: (2)大机组和重点动设备运行参数的自动监测及运行状况的评估; 4.9.4 设备预防性维修工作开展情况,主要包括: (1)关键设备的在线监测; (2)关键设备、连续监(检)测检查仪表的定期监(检)测检查; 4.9.5 安全仪表系统安全完整性等级评估工作开展情况,主要包括: (1)安全仪表功能(SIF)及其相应的功能安全要求或安全完整性等级(SIL)评估; (2)安全仪表系统的设计、安装、使用、管理和维护; (3)检测报警仪器的定期标定。 6 特殊条款 6.1 依据《化工和危险化学品生产经营单位重大生产安全事故隐患判定标准(试行)》,企业存在重大隐患的,必须立即排除,排除前或排除过程中无法保证安全的,属地应急管理部门应依法责令暂时停产停业或者停止使用相关设施、设备。 6.2 企业存在以下情况的,属地应急管理部门应依法暂扣或吊销安全生产许可证: (1)主要负责人、分管安全负责人和安全生产管理人员未依法取得安全合格证书。 (2)涉及危险化工工艺的特种作业人员未取得特种作业操作证、未取得高中或者相当于高中及以上学历。 (3)在役化工装置未经具有资质的单位设计且未通过安全设计诊断。 (4)外部安全防护距离不符合国家标准要求、存在重大外溢风险。 (5)涉及“两重点一重大”装置或储存设施的自动化控制设施不符合《危险化学品重大危险源监督管理暂行规定》(国家安全监管总局令第40 号)等国家要求。 附录 定义和术语 下列定义和术语适用于本导则。 1 两重点一重大 重点监管的危险化学品,重点监管的危险化工工艺,危险化学品重大危险源。 《危险化学品企业安全风险隐患排查治理导则》 附件, 安全风险隐患排查表 1 安全基础管理安全风险隐患排查表 (一)安全领导能力 14、排查内容 1.企业应当依法设置安全生产管理机构或配备专职安全生产管理人员; 2.专职安全生产管理人员应不少于企业员工总数的2%(不足50 人的企业至少配备1 人),要具备化工或安全管理相关专业中专以上学历,有从事化工生产相关工作2 年以上经历; 3.从业人员300 人以上的企业,应当按照不少于安全生产管理人员15%的比例配备注册安全工程师;安全生产管理人员在7 人以下的,至少配备1 名注册安全工程师。 排查依据 《安全生产法》第二十一条 《国家安全监管总局关于危险化学品企业贯彻落实国务院关于进一步加强企业安全生产工作的通知的实施意见》(安监总管三〔2010〕186 号)第一章第三条 《注册安全工程师管理规定》(国家安全监管总局令第11 号)第六条 (三)安全教育和岗位操作技能培训 10、(构成重大隐患的条款)排查内容 1.特种作业人员必须经专门的安全技术培训并考核合格,取得特种作业操作证后,方可上岗作业; 2.特种作业操作证应定期复审。 排查依据 《特种作业人员安全技术培训考核管理规定》(国家安全监管总局令第30 号)第五、二十条 补充说明: 《特种作业人员安全技术培训考核管理规定》(国家安全监管总局令第30 号) 第五条 特种作业人员必须经专门的安全技术培训并考核合格,取得《中华人民共和国特种作业操作证》(以下简称特种作业操作证)后,方可上岗作业。 附件:特种作业目录 9危险化学品安全作业 指从事危险化工工艺过程操作及化工自动化控制仪表安装、维修、维护的作业。 9.16化工自动化控制仪表作业 指化工自动化控制仪表系统安装、维修、维护的作业。 (五)安全风险管理 2、排查内容 1.企业应依据以下内容制定安全风险评价准则: (1)有关安全生产法律、法规; (2)设计规范、技术标准; (3)企业的安全管理标准、技术标准; (4)企业的安全生产方针和目标等。 2.评价准则应包括事件发生可能性、严重性的取值标准以及安全风险等级的评定标准; 3.安全风险可接受水平最低应满足GB36894 要求。 排查依据 《关于加强化工过程安全管理的指导意见》(安监总管三〔2013〕88 号)第五条 《国家安全监管总局关于印发危险化学品从业单位安全生产标准化评审标准的通知》(安监总管三〔2011〕93 号)评审标准3.1 4、排查内容 企业安全风险辨识分析内容应重点关注如下方面: (1)对涉及“两重点一重大”生产、储存装置定期运用HAZOP方法开展安全风险辨识; (2)对设备设施、作业活动、作业环境进行安全风险辨识; (3)当管理机构、人员构成、生产装置等发生重大变化或发生安全事故时,及时进行安全风险辨识分析; (4)对控制安全风险的工程、技术、管理措施及其失效后可能引起的后果进行分析。 排查依据 《关于加强化工过程安全管理的指导意见》(安监总管三〔2013〕88 号)第六条 《危险与可操作性分析质量控制与审查导则》(T/CCSAS 001-2018) 9、排查内容 企业应建立不可接受安全风险清单,对不可接受安全风险要及时制定并落实消除、减小或控制安全风险的措施,将安全风险控制在可接受的范围。 排查依据 《关于加强化工过程安全管理的指导意见》(安监总管三〔2013〕88 号)第七条 10、排查内容 企业应对涉及“两重点一重大”的生产、储存装置每3年运用HAZOP分析法进行一次安全风险辨识分析,编制HAZOP分析报告。 排查依据 《关于加强化工过程安全管理的指导意见》(安监总管三〔2013〕88 号)第五条 《危险与可操作性分析质量控制与审查导则》(T/CCSAS 001-2018) 14、(构成重大隐患的条款)排查内容 企业应当建立健全生产安全事故隐患排查治理制度,明确各种事故隐患排查的形式、内容、频次、组织与参加人员、事故隐患治理、上报及其他有关要求。 排查依据 《安全生产法》第三十八条 18、排查内容 1.对于重大事故隐患,企业应由主要负责人组织制定并实施治理方案; 2.企业应编制重大事故隐患报告,及时向应急管理部门和有关部门报告。 排查依据 《安全生产事故隐患排查治理暂行规定》(国家安全监管总局令第16 号)第十四、十五条 (七)作业安全管理 2、(构成重大隐患的条款)排查内容 1.特殊作业票证内容设置应符合GB 30871 要求; 2.作业票证审批程序、填写应规范(包括作业证的时限、气体分析、作业风险分析、安全措施、各级审批、验收签字、关联作业票证办理等)。 排查依据 《化学品生产单位特殊作业安全规范》(GB 30871-2014) 2 设计与总图安全风险隐患排查表 (一)设计管理 1、排查内容 企业应委托具备国家规定资质等级的设计单位承担建设项目工程设计。涉及“两重点一重大”的大型建设项目,其设计单位资质应为工程设计综合资质或相应工程设计化工石化医药、石油天然气(海洋石油)行业、专业甲级资质。 排查依据 《关于进一步加强危险化学品建设项目安全设计管理的通知》(安监总管三〔2013〕76 号) 3、(构成重大隐患的条款)排查内容 在规划设计工厂的选址、设备布置时,应按照GB/T37243 要求开展外部安全防护距离评估核算;外部安全防护距离应满足根据GB 36894 确定的个人风险基准的要求。 排查依据 《危险化学品生产装置和储存设施外部安全防护距离》(GB/T 37243-2019 ) 《危险化学品生产装置和储存设施风险基准》(GB 36894-2018) 5、排查内容 企业应在建设项目基础设计阶段组织开展危险与可操作性(HAZOP)分析,形成分析报告。 排查依据 《关于进一步加强危险化学品建设项目安全设计管理的通知》(安监总管三〔2013〕76 号) 《危险与可操作性分析质量控制与审查导则》(T/CCSAS 001-2018) 6、排查内容 1.新建化工装置应设计装备自动化控制系统,并根据工艺过程危险和风险分析结果、安全完整性等级评价(SIL)结果,设置安全仪表系统; 2.涉及重点监管危险化工工艺的大、中型新建建设项目要按照GB/T 21109 和GB 50770 等相关标准开展安全仪表系统设计。 排查依据 《关于进一步加强危险化学品建设项目安全设计管理的通知》(安监总管三〔2013〕76 号) 7、(构成重大隐患的条款)排查内容 1.涉及精细化工的建设项目,在编制可行性研究报告或项目建议书前,应按规定开展反应安全风险评估; 2.国内首次采用的化工工艺,要通过省级有关部门组织专家组进行安全论证。 排查依据 《国家安全监管总局关于加强精细化工反应安全风险评估工作的指导意见》(安监总管三〔2017〕1 号)第二、四条 《关于危险化学品企业贯彻落实<国务院关于进一步加强企业安全生产工作的通知>的实施意见》(安监总管三〔2010〕186 号)第九条 (二)总图布局 7、(构成重大隐患的条款)排查内容 企业控制室或机柜间与装置的防火间距应满足GB50160 要求;控制室面向具有火灾、爆炸危险性装置一侧不应有门窗、孔洞,并应满足防火防爆要求。 排查依据 《石油化工企业设计防火标准(2018 版)》(GB 50160-2008)第5.2.16、5.2.17、5.2.18条 《石油化工控制室抗爆设计规范》(GB50779-2012)第4.1.4 条 3 试生产管理安全风险隐患排查表 9、排查内容 在系统吹扫冲洗前,应在排放口设置警戒区,拆除易被吹扫冲洗损坏的所有部件,确认吹扫冲洗流程、介质及压力。蒸汽吹扫时,要落实防止人员烫伤的防护措施。 排查依据 《关于加强化工过程安全管理的指导意见》(安监总管三〔2013〕88 号)第十五条 4 装置运行安全风险隐患排查表 (一)工艺风险评估 1、(构成重大隐患的条款)排查内容 新开发的危险化学品生产工艺应经小试、中试、工业化试验再进行工业化生产。国内首次采用的化工工艺,要通过省级有关部门组织专家组进行安全论证。 排查依据 《关于危险化学品企业贯彻落实<国务院关于进一步加强企业安全生产工作的通知>的实施意见 》(安监总管三〔2010〕186 号 ) 2、(构成重大隐患的条款)排查内容 精细化工企业应按照规定要求,开展反应安全风险评估。 排查依据 《关于加强精细化工反应安全风险评估工作的指导意见》(安监总管三〔2017〕1号) 3、(构成重大隐患的条款)排查内容 生产企业不得使用淘汰落后技术工艺目录列出的工艺。 排查依据 《关于印发淘汰落后安全技术装备目录(2015 年第一批)的通知》(安监总科技〔2015〕75 号) 《淘汰落后安全技术工艺、设备目录(2016年)的通知》(安监总科技〔2016〕137号) (三)工艺技术及工艺装置的安全控制 1、(构成重大隐患的条款)排查内容 企业涉及重点监管的危险化工工艺装置,应装设自动化控制系统。 排查依据 《关于开展提升危险化学品领域本质安全水平专项行动的通知》(安监总管三〔2012〕87 号) 《首批重点监管的危险化工工艺目录的通知》(安监总管三〔2009〕116 号) 《第二批重点监管危险化工工艺目录和调整首批重点监管危险化工工艺中部分典型工艺》(安监总管三〔2013〕3 号) 2、(构成重大隐患的条款)排查内容 1.涉及危险化工工艺的大型化工装置应装设紧急停车系统; 2.危险化工工艺装置的自动化控制和紧急停车系统应正常投入使用。 排查依据 《关于开展提升危险化学品领域本质安全水平专项行动的通知》(安监总管三〔2012〕87 号) 《首批重点监管的危险化工工艺目录的通知》(安监总管三〔2009〕116 号) 《第二批重点监管危险化工工艺目录和调整首批重点监管危险化工工艺中部分典型工艺》(安监总管三〔2013〕3 号) 3、排查内容 危险化工工艺的安全控制应按照重点监管的危险化工工艺安全控制要求、重点监控参数及推荐的控制方案的要求,并结合HAZOP 分析结果进行设置。 排查依据 《首批重点监管的危险化工工艺目录》(安监总管三〔2009〕116 号) 《第二批重点监管危险化工工艺目录和调整首批重点监管危险化工工艺中部分典型工艺的通知 》的实施意见 》(安监总管三〔2013〕3 号 ) 《危险与可操作性分析(HAZOP 分析)应用导则》(AQ/T3049-2013 ) 《危险与可操作性分析质量控制与审查导则》(T/CCSAS 001-2018) 5、排查内容 因物料爆聚、分解造成超温、超压,可能引起火灾、爆炸的反应设备应设报警信号和泄压排放设施,以及自动或手动遥控的紧急切断进料设施。 排查依据 《石油化工企业设计防火标准(2018 版》(GB 50160-2008)第5.5.13 条 (四)工艺运行管理 1、排查内容 现场表指示数值、DCS 控制值与工艺卡片控制值应保持一致。 2、排查内容 企业应建立岗位操作记录,对运行工况定时进行监测、检查,并及时处置工艺报警并记录。 排查依据 《关于加强化工过程安全管理的指导意见》(安监总管三〔2013〕88 号)第九条 3、排查内容 生产过程中严禁出现超温、超压、超液位运行情况;对异常工况处置应符合操作规程要求。 排查依据 《关于加强化工过程安全管理的指导意见》(安监总管三〔2013〕88 号)第九条 4、排查内容 企业应严格执行联锁管理制度,并符合以下要求: 1.现场联锁装置必须投用、完好; 2.摘除联锁有审批手续,有安全措施; 3.恢复联锁按规定程序进行。 排查依据 《关于加强化工过程安全管理的指导意见》(安监总管三〔2013〕88 号)第十六条 (六)开停车管理 3、排查内容 开车前企业应对如下重要步骤进行签字确认: 1.进行冲洗、吹扫、气密试验时,要确认已制定有效的安全措施; 2.引进蒸汽、氮气、易燃易爆介质前,要指定有经验的专业人员进行流程确认; 3.引进物料时,要随时监测物料流量、温度、压力、液位等参数变化情况,确认流程是否正确。 排查依据 《关于加强化工过程安全管理的指导意见》(安监总管三〔2013〕88 号)第十条 (七)储运系统安全设施 4、(构成重大隐患的条款)排查内容 构成一级、二级重大危险源的危险化学品罐区应实现紧急切断功能,并处于投用状态。 排查依据 《危险化学品重大危险源监督管理暂行规定》(国家安全监管总局令第40 号) 5、排查内容 严禁正常运行的内浮顶罐浮盘落底;内浮顶罐低液位报警或联锁设置不得低于浮盘支撑的高度。 排查依据 《化工(危险化学品)企业安全检查重点指导目录》(安监总管三〔2015〕113 号 ) 7、排查内容 防火堤设计应符合GB50351 要求: 1.防火堤的材质、耐火性能以及伸缩缝配置应满足规范要求; 2.防火堤容积应满足规范要求,并能承受所容纳油品的静压力且不渗漏; 3.液化烃罐区防火堤内严禁绿化。 排查依据 《储罐区防火堤设计规范》(GB 50351-2014) 8、排查内容 气柜应设上、下限位报警装置,并宜设进出管道自动联锁切断装置。 排查依据 《石油化工企业设计防火标准(2018 年版)》(GB 50160-2008)第6.3.12 条 (九)重大危险源的安全控制 1、排查内容 重大危险源应配备温度、压力、液位、流量等信息的不间断采集和监测系统以及可燃气体和有毒有害气体泄漏检测报警装置,并具备信息远传、记录、安全预警、信息存储等功能。 排查依据 《危险化学品重大危险源监督管理暂行规定》(国家安全监管总局令第40 号)第十三条 2、(构成重大隐患的条款)排查内容 重大危险源的化工生产装置应装备满足安全生产要求的自动化控制系统。 排查依据 《危险化学品重大危险源监督管理暂行规定》(国家安全监管总局令第40 号)第十三条 3、(构成重大隐患的条款)排查内容 一级或者二级重大危险源,设置紧急停车系统。 排查依据 《危险化学品重大危险源监督管理暂行规定》(国家安全监管总局令第40 号)第十三条 4、(构成重大隐患的条款)排查内容 对重大危险源中的毒性气体、剧毒液体和易燃气体等重点设施,设置紧急切断装置。 排查依据 《危险化学品重大危险源监督管理暂行规定》(国家安全监管总局令第40 号)第十三条 5、(构成重大隐患的条款)排查内容 对涉及毒性气体、液化气体、剧毒液体的一级或者二级重大危险源,应具有独立安全仪表系统。 排查依据 《危险化学品重大危险源监督管理暂行规定》(国家安全监管总局令第40 号)第十三条 7、排查内容 重大危险源中储存剧毒物质的场所或者设施,设置视频监控系统。 排查依据 《危险化学品重大危险源监督管理暂行规定》(国家安全监管总局令第40 号)第十三条 (二)设备的预防性维修和检测 7、排查内容 在涉及易燃、易爆、有毒介质设备和管线的排放口、采样口等排放部位,应通过加装盲板、丝堵、管帽、双阀等措施,减少泄漏的可能性。 排查依据 《国家安全监管总局关于加强化工企业泄漏管理的指导意见》(安监总管三〔2014〕94 号) 《石油化工金属管道布置设计规范》(SH/T3012-2011) 9、排查内容 凡在开停工、检修过程中,可能有可燃液体泄漏、漫流的设备区周围应设置不低于150mm 的围堰和导液设施。 排查依据 《石油化工企业设计防火标准(2018 年版)》(GB 50160-2008)第5.2.28 条 (三)动设备的管理和运行状况 2、排查内容 企业应监测大机组和重点动设备转速、振动、位移、温度、压力等运行参数,及时评估设备运行状况。 排查依据 《关于加强化工过程安全管理的指导意见》(安监总管三〔2013〕88 号) (四)静设备的管理 4、排查内容 加热炉现场运行管理,应满足: 1.加热炉燃烧过程中,工艺介质流量低或中断燃烧联锁、燃料气管道压力超高、超低低联锁以及引风机停运联锁等应正常投用; 2.加热炉上的控制仪表以及检测仪表应正常投用,无故障,并定期对所有氧含量分析仪进行校验; 3.灭火蒸汽系统处于备用状态。 (五)安全附件的管理 5、排查内容 压力表的选型应符合相关要求,压力范围及检定标记明显。 排查依据 《固定式压力容器安全技术监察规程》(TSG 21-2016)第9.2.1 条 6、排查内容 压力容器用液位计应当: 1.储存0℃以下介质的压力容器,选用防霜液位计; 2.寒冷地区室外使用的液位计,选用夹套型或者保温型结构的液位计; 3.用于易爆、毒性程度为极度或者高度危害介质、液化气体压力容器上的液位计,有防止泄漏的保护装置。 排查依据 《固定式压力容器安全技术监察规程》(TSG 21-2016)第9.2.2 条 6 仪表安全风险隐患排查表 (一)仪表安全管理 1、排查内容 企业应建立仪表自动化控制系统安全管理、日常维护保养等制度。 排查依据 《关于加强化工过程安全管理的指导意见》(安监总管三〔2013〕88 号)第十六条 2、排查内容 企业应建立健全仪表检查、维护、使用、检定等各类台账及仪表巡检记录。 排查依据 《关于加强化工过程安全管理的指导意见》(安监总管三〔2013〕88 号)第十六条 3、排查内容 仪表调试、维护及检测记录齐全,主要包括: 1.仪表定期校验、回路调试记录; 2.检测仪表和控制系统检维护记录。 排查依据 《自动化仪表工程施工及质量验收规范》(GB 50093-2013)第12.1.1、12.5.2 条 4、排查内容 新(改、扩)建装置和大修装置的仪表自动化控制系统投用前、长期停用的仪表自动化控制系统再次启用前,必须进行检查确认。 排查依据 《关于加强化工过程安全管理的指导意见》(安监总管三〔2013〕88 号)第十六条 5、排查内容 控制系统管理应满足以下要求: 1.控制方案变更应办理审批手续; 2.控制系统故障处理、检修及组态修改记录应齐全; 3.控制系统建立有应急预案。 排查依据 《工业自动化和控制系统网络安全 集散控制系统(DCS) 第2 部分:管理要求》(GB/T33009.2-2016 )第5.11.2、5.9.2 条 6 、排查内容 企业应建立安全联锁保护系统停运、变更专业会签和技术负责人审批制度。联锁保护系统的管理应满足: 1.联锁逻辑图、定期维修校验记录、临时停用记录等技术资料齐全; 2.应对工艺和设备联锁回路定期调试; 3.联锁保护系统(设定值、联锁程序、联锁方式、取消)变更应办理审批手续; 4.联锁摘除和恢复应办理工作票,有部门会签和领导签批手续; 5.摘除联锁保护系统应有防范措施及整改方案。 排查依据 《工业自动化和控制系统网络安全 集散控制系统(DCS) 第2 部分:管理要求》(GB/T33009.2-2016 ) (二)控制系统设置 1、排查内容 新建化工装置必须设置自动化控制系统,根据工艺过程危险和安全风险分析结果,确定配备安全仪表系统。 排查依据 《关于进一步加强危险化学品建设项目安全设计管理的通知》(安监总管三〔2013〕76 号)第十九条 2、排查内容 对涉及“两重点一重大”的需要配置安全仪表系统的化工装置应开展安全仪表功能评估。 排查依据 《国家安全监管总局关于加强化工安全仪表系统管理的指导意见》(安监总管三〔2014〕116 号)第四、十四条 3、排查内容 配备的安全仪表系统应处于投用状态。 (三)仪表系统设置 1、(构成重大隐患的条款)排查内容 化工生产装置自动化控制系统应设置不间断电源,可燃有毒气体检测报警系统应设置不间断电源,后备电池的供电时间不小于30min。 排查依据 《仪表供电设计规范》(HG/T 20509-2014)第7.1.3 条 2、排查内容 仪表气源应符合下列要求: 1.采用清洁、干燥的空气; 2.应设置备用气源。备用气源可采用备用压缩机组、贮气罐或第二气源(也可用干燥的氮气)。 排查依据 《仪表供气设计规范》(HG/T 20510-2014)第3.0.1、3.0.2、3.0.3、4.4.1、4.4.2 条 《石油化工仪表供气设计规范》( SH3020-2013)第3.0.1、4.3.1 条 3、排查内容 安装DCS、PLC、SIS 等设备的控制室、机柜室、过程控制计算机的机房,应考虑防静电接地。其室内的导静电地面、活动地板、工作台等应进行防静电接地。 排查依据 《仪表系统接地设计规范》( HG/T20513-2014)第5.3.1 条 《石油化工仪表接地设计规范》(SH/T 3081-2003)第2.4.1 条 4、(构成重大隐患的条款)排查内容 爆炸危险场所的仪表、仪表线路的防爆等级应满足区域的防爆要求。 排查依据 《爆炸危险环境电力装置设计规范》(GB50058-2014)第5.2.3 条 《石油化工自动化仪表选型设计规范》(SH/T 3005-2016)第4.9 条 5、排查内容 保护管与检测元件或现场仪表之间应采取相应的防水措施。防爆场合应采取相应防爆级别的密封措施。 排查依据 《爆炸危险环境电力装置设计规范》(GB50058-2014)第5.4.3 条 《自动化仪表工程施工及质量验收规范》(GB 50093-2013)第7.4.8 条 《石油化工仪表管道线路设计规范》(SH/T3019-2003)第8.4.6 条 6、排查内容 危险化学品重大危险源配备的温度、压力、液位、流量、组份等信息应不间断采集和监测,并具备信息远传、连续记录、事故预警、信息存储等功能;记录的电子数据的保存时间不少于30 天。 排查依据 《危险化学品重大危险源监督管理暂行规定》(国家安全监管总局令第40 号)第十三条 7、排查内容 危险化学品重大危险源罐区安全监控装备应符合要求: 1.摄像头的设置个数和位置,应根据罐区现场的实际情况实现全面覆盖; 2.摄像头的安装高度应确保可以有效监控到储罐顶部; 3 有防爆要求的应使用防爆摄像机或采取防爆措施。 排查依据 《危险化学品重大危险源罐区现场安全监控装备设置规范》(AQ 3036-2010)第10.1条 8、排查内容 紧急停车按钮应有可靠防护措施。 排查依据 《信号报警及联锁系统设计规范》(HG/T20511-2014)第4.11.4 条 9、排查内容 罐区储罐高高、低低液位报警信号的液位测量仪表应采用单独的液位连续测量仪表或液位开关,报警信号应传送至自动控制系统。 排查依据 《石油化工储运系统罐区设计规范》(SH/T3007-2014 )第5.4.5 条 (四)气体检测报警管理 1、(构成重大隐患的条款)排查内容 可燃气体和有毒气体检测报警器的设置与报警值的设置应满足GB 50493 要求。 排查依据 《石油化工可燃气体和有毒气体检测报警设计规范》(GB 50493-2009) 2、排查内容 可燃气体和有毒气体检测报警系统应独立于基本过程控制系统。 排查依据 《国家安全监管总局关于加强化工安全仪表系统管理的指导意见》(安监总管三〔2014〕116 号)第十一条 3、排查内容 可燃气体、有毒气体检测报警器管理应满足以下要求: 1.绘制可燃、有毒气体检测报警器检测点布置图; 2.可燃、有毒气体检测报警器按规定周期进行检定或校准,周期一般不超过一年。 4、排查内容 可燃、有毒气体检测报警信号应发送至有操作人员常驻的控制室、现场操作室进行报警,并有报警与处警记录,对报警原因进行分析。 排查依据 《石油化工可燃气体和有毒气体检测报警设计规范》(GB 50493-2009)第3.0.4 条 《国家安全监管总局关于加强化工企业泄漏管理的指导意见》(安监总管三〔2014〕94 号)第十九条 5、排查内容 可燃、有毒气体检测报警器应完好并处于正常投用状态。 排查依据 《安全生产法》第三十三条 7 电气安全风险隐患排查表 1、排查内容 (二)供配电系统设置及电气设备设施 1、(构成重大隐患的条款)排查内容 2.一级负荷中特别重要的负荷供电,尚应增设应急电源,并严禁将其他负荷接入应急供电系统;设备的供电电源的切换时间,应满足设备允许中断供电的要求; 排查依据 《供配电系统设计规范》(GB 50052-2009)第3.0.1 条 3、排查内容 电气设备的安全性能,应满足以下要求: 1.设备的金属外壳应采取防漏电保护接地; 2.接地线不得搭接或串接,接线规范、接触可靠; 3.明设的应沿管道或设备外壳敷设,暗设的在接线处外部应有接地标志; 4.接地线接线间不得涂漆或加绝缘垫。 排查依据 《电气装置安装工程接地装置施工及验收规范》(GB 50169-2016)第3.0.4、4.2.9 条 4、排查内容 电缆必须有阻燃措施;电缆桥架符合相关设计规范。 排查依据 《电力工程电缆设计规范》( GB50217-2018)第6.2.7 条 (三)防雷、防静电设施 1、排查内容 工艺装置内露天布置的塔、容器等,当容器顶板厚度等于或大于4mm 时,可不设避雷针、线保护,但必须设防雷接地。 排查依据 《石油化工企业设计防火标准(2018 年版)》(GB 50160-2008)第9.2.2 条 2、排查内容 可燃气体、液化烃、可燃液体的钢罐,必须设防雷接地,并应符合下列规定: 1.甲B、乙类可燃液体地上固定顶罐,当顶板厚度小于4mm 时应设避雷针、线,其保护范围应包括整个储罐; 2.丙类液体储罐,可不设避雷针、线,但必须设防感应雷接地; 3.浮顶罐(含内浮顶罐)可不设避雷针、线,但应将浮顶与罐体用两根截面不小于25mm2 的软铜线作电气连接; 4.压力储罐不设避雷针、线,但应作接地。 排查依据 《石油化工企业设计防火标准(2018 年版)》(GB 50160-2008)第9.2.3 条 6、排查内容 重点防火、防爆作业区的入口处,应设计人体导除静电装置。 排查依据 《化工企业安全卫生设计规范》( HG20571-2014 )第4.2.10 条 7、排查内容 储罐罐顶平台上取样口(量油口)两侧1.5 米之外,应各设一组消除人体静电设施,设施应与罐体做电气连接并接地,取样绳索、检尺等工具应与设施连接。 排查依据 《石油化工静电接地设计规范》(SHT3097-2017)第5.2.2 条 8、排查内容 在爆炸危险区域内设计有静电接地要求的管道,当每对法兰或其他接头间电阻值超过0.03Ω 时,应设导线跨接。 排查依据 《工业金属管道工程施工规范》(GB50235-2010)第7.13.1 条 (四)现场安全 1、排查内容 电缆必须有阻燃措施。电缆沟必须有防窜油汽、防腐蚀、防水措施;电缆隧道必须有防火、防沉陷措施。 8 应急与消防安全风险隐患排查表 (二)应急器材和设施 4、排查内容 企业存在可燃、有毒气体的区域应配备便携式检测仪,并定期检定。 排查依据 《危险化学品单位应急救援物资配备标准》(GB 30077-2013)第9.3 条 《可燃气体检测报警器》(JJG 693-2011)第5.5 条 5、排查内容 石油化工企业的生产区、公用及辅助生产设施、全厂性重要设施和区域性重要设施的火灾危险场所应设置火灾自动报警系统和火灾电话报警。 排查依据 《石油化工企业设计防火标准(2018 年版)》(GB 50160-2008)第8.12.1 条 7、排查内容 消防水泵房及其配电室的消防应急照明采用蓄电池作备用电源时,其连续供电时间不应少于3h。 排查依据 《石油化工企业设计防火标准(2018 年版)》(GB 50160-2008)第9.1.2 条 (三)消防安全 11、排查内容 全压力式、半冷冻式液化烃球罐固定式消防冷却水管道的控制阀应处于罐区防火堤外,距被保护罐壁不宜小于15m。可燃液体立式储罐的固定消防冷却水系统(水喷淋或水喷雾系统)的控制阀门应设在防火堤外,且距被保护罐壁不宜小于15m。 排查依据 《石油化工企业设计防火标准(2018 年版)》(GB 50160-2008)第8.10.10、8.4.5 条 9 重点危险化学品特殊管控安全风险隐患排查表 6、排查内容 液化烃储罐底部的液化烃出入口管道应设可远程操作的紧急切断阀,紧急切断阀的执行机构应有故障安全保障的措施。 排查依据 《石油化工储运系统罐区设计规范》(SH/T3007-2014)第6.4.1 条 8、排查内容 液化天然气储罐应配备2套独立的液位计,液位计应能适应液体密度的变化。 排查依据 《液化天然气(LNG)生产、储存和装运》(GB/T 20368-2012)第10.1.1.1 条 10、排查内容 液化烃球形储罐本体应设就地和远传温度计,并应保证在最低液位时能测液相的温度而且便于观测和维护。 排查依据 《石油化工液化烃球形储罐设计规范》(SH3136-2003)第5.1 条 11、排查内容 液化烃球形储罐应设就地和远传的液位计,但不宜选用玻璃板液位计。 排查依据 《石油化工液化烃球形储罐设计规范》(SH3136-2003)第5.3.1 条 12、排查内容 液化石油气球罐上的阀门的设计压力不应小于2.5MPa。 排查依据 《石油化工液化烃球形储罐设计规范》(SH3136-2003)第6 条 15、排查内容 全压力式液化烃储罐宜采用有防冻措施的二次脱水系统,储罐根部宜设紧急切断阀。 排查依据 《石油化工企业设计防火标准(2018 版)》(GB 50160-2008)第6.3.14 条 17、排查内容 液化烃充装车过程中,应设专人在车辆紧急切断装置处值守,确保可随时处置紧急情况。 (二)液氨 5、排查内容 液氨储罐进出口管线应设置双切断阀,其中一只出口切断阀为紧急切断阀。 排查依据 《合成氨生产企业安全标准化实施指南》AQ/T 3017-2008)第5.5.4.6 条 (三)液氯 3、排查内容 工作场所应设置事故通风装置及与通风系统相联锁的泄漏报警装置;通风装置的控制分别设置在室内、室外便于操作地点;排风口设置尽可能避免影响作业人员。 排查依据 《氯职业危害防护导则》(GBZ/T 275-2016)第6.1.5 条 4、排查内容 液氯气化器、贮槽(罐)等设施设备的压力表、液位计、温度计,应装有带远传报警的安全装置。 排查依据 《氯气安全规程》(GB 11948-2008)第3.11D条 8、排查内容 使用氯气作为生产原料时,宜使用盘管式或套管式气化器的液氯全气化工艺,液氯气化温度不得低于71℃,建议热水控制温度75~85℃;采用特种气化器(蒸汽加热),温度不得大于121℃,气化压力与进料调节阀联锁控制,气化温度与蒸汽调节阀联锁控制。 排查依据 《关于氯气安全设施和应急技术的指导意见》(中国氯碱工业协会〔2010〕协字第070号)第三条 12、排查内容 地上液氯贮槽(罐)区地面应低于周围地面0.3~0.5m或在贮存区周边设0.3~0.5m 的事故围堰。 排查依据 《氯气安全规程》(GB 11948-2008)第7.2.4条 13、排查内容 液氯贮槽(罐)液面计应采用两种不同方式,采用现场显示和远传液位显示仪表各一套,远传仪表宜采用罐外测量的外测式液位计。 排查依据 《关于氯气安全设施和应急技术的指导意见》(中国氯碱工业协会〔2010〕协字第070号)第一条 14、排查内容 液氯贮槽(罐)的就地液位指示,不得选用玻璃板液位计。 排查依据 《自动化仪表选型设计规范》( HG/T20507-2014)第7.2.2 条 20、排查内容 液氯仓库必须设置事故氯吸收(塔)装置,具备24小时连续运行的能力,并与电解故障停车、动力电失电联锁控制;至少满足紧急情况下处理能力,吸收液循环槽具备切换、备用和配液的条件,保证热备状态或有效运行。 排查依据 《关于氯气安全设施和应急技术的指导意见》(中国氯碱工业协会〔2010〕协字第070号)第四条 (五)光气 5、排查内容 含光气物料管道应采用无缝钢管,管道连接应采用对焊焊接,严禁采用丝扣连接。 排查依据 《光气及光气化产品生产安全规程》(GB19041-2003)第6.2 条 6、排查内容 光气及光气化装置应设置隔离操作室。 排查依据 《光气及光气化产品生产安全规程》(GB19041-2003)第7.2 条 7、排查内容 光气及光气化产品生产装置的供电应设有双电源,紧急停车系统、尾气破坏处理系统应配备柴油发电机,要求在30s 内自动启动供电。 排查依据 《光气及光气化产品生产安全规程》(GB19041-2003)第10.1 条 8、排查内容 光气及光气化产品生产装置应设置化工安全仪表系统(SIS)。 (六)氯乙烯 6、排查内容 氯乙烯气柜进出总管应设置压力和柜位检测,DCS指示、报警、联锁,记录保持时间不低于3 个月。气柜压力和柜位联锁应设置高高或低低的三选二联锁动作。 11、排查内容 氯乙烯气柜的进出口管道应设远程紧急切断阀。 (七)硝化工艺 1、排查内容 硝化控制室应设置在远离硝化车间的安全地带,在采用远程DCS 控制基础上、采用远程视频监管、在线检测、设备故障自诊断等技术措施,减少现场常驻操作人员数量和工作时间。 2、排查内容 硝化工艺应实现自动化控制系统,并设置安全联锁;结合各种异常工况,计算工艺控制要求最大允许流量和时段累积量,设置固定的不可超调的限流措施。 3、排查内容 半间歇、连续化硝化工艺等要严控加料配比的可靠性;设置滴加物料管道视镜(设置远程视频监控)。 4、排查内容 应严格控制硝化反应温度上下限,禁止温度超限特别是超下限状态,避免物料累积、反应滞后引发的过程失控;硝化釜中设置双温度计,确保温度测量的可靠性。 6、排查内容 在发生事故会有相互影响的硝化釜与硝化釜、硝化物贮槽等设施之间,应增设应急自动隔断阀(隔离措施),防止事故扩大化。 摘选:《危险化学品安全专项整治三年行动实施方案》 二、主要任务 (二)提高危险化学品企业本质安全水平。 1.全面排查管控危险化学品生产储存企业外部安全防护距离。督促危险化学品生产储存企业按照《危险化学品生产装置和储存设施风险基准》(GB 36894-2018)和《危险化学品生产装置和储存设施外部安全防护距离确定方法》(GB/T 37243-2019)确定外部安全防护距离。不符合外部安全防护距离要求的涉及“两重点一重大”的生产装置和储存设施,经评估具备就地整改条件的,整改工作必须在2020年底前完成,未完成整改的一律停止使用;需要实施搬迁的,在采取尽可能消减安全风险措施的基础上于2022年底前完成; 2.进一步提升危险化学品企业自动化控制水平。继续推进“两重点一重大”生产装置、储存设施可燃气体和有毒气体泄漏检测报警装置、紧急切断装置、自动化控制系统的建设完善,2020年底前涉及“两重点一重大”的生产装置、储存设施的上述系统装备和使用率必须达到100%,未实现或未投用的,一律停产整改。推动涉及重点监管危险化工工艺的生产装置实现全流程自动化控制,2022年底前所有涉及硝化、氯化、氟化、重氮化、过氧化工艺装置的上下游配套装置必须实现自动化控制,最大限度减少作业场所人数。涉及爆炸危险性化学品的生产装置控制室、交接班室不得布置在装置区内,已建成投用的必须于2020年底前完成整改;涉及甲乙类火灾危险性的生产装置控制室、交接班室原则上不得布置在装置区内,确需布置的,应按照《石油化工控制室抗爆设计规范》(GB50779-2012),在2020年底前完成抗爆设计、建设和加固。具有甲乙类火灾危险性、粉尘爆炸危险性、中毒危险性的厂房(含装置或车间)和仓库内的办公室、休息室、外操室、巡检室,2020年8月前必须予以拆除。 3.深化精细化工企业反应安全风险评估。凡列入精细化工反应安全风险评估范围但未开展评估的精细化工生产装置,一律不得生产。现有涉及硝化、氯化、氟化、重氮化、过氧化工艺的精细化工生产装置必须于2021年底前完成有关产品生产工艺全流程的反应安全风险评估,同时按照《关于加强精细化工反应安全风险评估工作的指导意见》(安监总管三〔2017〕1号)的有关方法对相关原料、中间产品、产品及副产物进行热稳定性测试和蒸馏、干燥、储存等单元操作的风险评估。强化精细化工反应安全风险评估结果运用,已开展反应安全风险评估的企业要根据反应危险度等级和评估建议设置相应的安全设施,补充完善安全管控措施,及时审查和修订安全操作规程,确保设备设施满足工艺安全要求,2022年底前未落实有关评估建议的精细化工生产装置一律停产整顿。 《中共中央国务院关于推进安全生产领域改革发展的意见》 《中共中央办公厅国务院办公厅关于全面加强危险化学品安全生产工作的意见》 《企业安全生产标准化基本规范》(GB/T33000-2016) 《危险化学品目录》 《化工园区安全风险排查治理导则(试行)》(应急〔2019〕78号) 《危险化学品企业安全风险隐患排查治理导则》(应急〔2019〕78号) 《危险化学品生产装置和储存设施风险基准》(GB36894-2018) 《危险化学品生产装置和储存设施外部安全防护距离确定方法》(GB/T37243-2019) 《石油化工控制室抗爆设计规范》(GB50779-2012) 《关于加强精细化工反应安全风险评估工作的指导意见》(安监总管三〔2017〕1号) 《安全生产法》 《注册安全工程师管理规定》(国家安全监管总局令第11 号) 《国家安全监管总局关于危险化学品企业贯彻落实国务院关于进一步加强企业安全生产工作的通知的实施意见》(安监总管三〔2010〕186 号) 《特种作业人员安全技术培训考核管理规定》(国家安全监管总局令第30 号) 《关于加强化工过程安全管理的指导意见》(安监总管三〔2013〕88 号) 《国家安全监管总局关于印发危险化学品从业单位安全生产标准化评审标准的通知》(安监总管三〔2011〕93 号) 《安全生产事故隐患排查治理暂行规定》(国家安全监管总局令第16 号) 《关于进一步加强危险化学品建设项目安全设计管理的通知》(安监总管三〔2013〕76 号) 《关于加强精细化工反应安全风险评估工作的指导意见》(安监总管三〔2017〕1号) 《化工和危险化学品生产经营单位重大生产安全事故隐患判定标准(试行)》(安监总管三〔2017〕121号) 《关于印发淘汰落后安全技术装备目录(2015 年第一批)的通知》(安监总科技〔2015〕75 号) 《淘汰落后安全技术工艺、设备目录(2016年)的通知》(安监总科技〔2016〕137号) 《关于开展提升危险化学品领域本质安全水平专项行动的通知》(安监总管三〔2012〕87 号) 《首批重点监管的危险化工工艺目录的通知》(安监总管三〔2009〕116 号) 《第二批重点监管危险化工工艺目录和调整首批重点监管危险化工工艺中部分典型工艺》(安监总管三〔2013〕3 号) 《危险化学品重大危险源监督管理暂行规定》(国家安全监管总局令第40 号) 《化工(危险化学品)企业安全检查重点指导目录》(安监总管三〔2015〕113 号 ) 《国家安全监管总局关于加强化工企业泄漏管理的指导意见》(安监总管三〔2014〕94 号) 《国家安全监管总局关于加强化工安全仪表系统管理的指导意见》(安监总管三〔2014〕116 号) 《合成氨生产企业安全标准化实施指南》AQ/T 3017-2008) 《危险化学品重大危险源罐区现场安全监控装备设置规范》(AQ 3036-2010) 《危险与可操作性分析(HAZOP 分析)应用导则》(AQ/T3049-2013 ) 《固定式压力容器安全技术监察规程》(TSG 21-2016) 《化学品生产单位特殊作业安全规范》(GB 30871-2014) 《危险化学品生产装置和储存设施外部安全防护距离》(GB/T 37243-2019 ) 《危险化学品生产装置和储存设施风险基准》(GB 36894-2018) 《危险化学品生产装置和储存设施外部安全防护距离确定方法》(GB/T37243-2019) 《石油化工企业设计防火标准(2018 版)》(GB 50160-2008) 《石油化工控制室抗爆设计规范》(GB50779-2012) 《储罐区防火堤设计规范》(GB 50351-2014) 《自动化仪表工程施工及质量验收规范》(GB 50093-2013) 《工业自动化和控制系统网络安全 集散控制系统(DCS) 第2 部分:管理要求》(GB/T33009.2-2016 ) 《爆炸危险环境电力装置设计规范》(GB50058-2014) 《石油化工可燃气体和有毒气体检测报警设计规范》(GB 50493-2009) 《供配电系统设计规范》(GB 50052-2009) 《电气装置安装工程接地装置施工及验收规范》(GB 50169-2016) 《电力工程电缆设计规范》( GB50217-2018) 《工业金属管道工程施工规范》(GB50235-2010) 《危险化学品单位应急救援物资配备标准》(GB 30077-2013) 《液化天然气(LNG)生产、储存和装运》(GB/T 20368-2012) 《氯职业危害防护导则》(GBZ/T 275-2016) 《氯气安全规程》(GB 11948-2008) 《氯气安全规程》(GB 11948-2008) 《光气及光气化产品生产安全规程》(GB19041-2003) 《危险与可操作性分析质量控制与审查导则》(T/CCSAS 001-2018) 《石油化工自动化仪表选型设计规范》(SH/T 3005-2016) 《石油化工储运系统罐区设计规范》(SH/T3007-2014 ) 《石油化工金属管道布置设计规范》(SH/T3012-2011) 《石油化工仪表管道线路设计规范》(SH/T3019-2003) 《石油化工仪表供气设计规范》( SH3020-2013) 《石油化工仪表接地设计规范》(SH/T 3081-2003) 《石油化工静电接地设计规范》(SHT3097-2017) 《石油化工液化烃球形储罐设计规范》(SH3136-2003) 《自动化仪表选型设计规范》( HG/T20507-2014) 《仪表供电设计规范》(HG/T 20509-2014) 《仪表供气设计规范》(HG/T 20510-2014) 《信号报警及联锁系统设计规范》(HG/T20511-2014) 《仪表系统接地设计规范》( HG/T20513-2014) 《化工企业安全卫生设计规范》( HG20571-2014 ) 《可燃气体检测报警器》(JJG 693-2011) 《关于氯气安全设施和应急技术的指导意见》(中国氯碱工业协会〔2010〕协字第070号) 《石油化工仪表接地设计规范》(SH/T 3081-2019) 《石油化工可燃气体和有毒气体检测报警设计标准》(GB/T 50493-2019)
本文来源于网络
