通风除尘系统运行监测与评估技术规范(AQT 4271-2015)实施指南
目 录
第一章 通风除尘系统的组成
一、通风除尘系统的基本组成
二、通风除尘系统的验收标准
第二章 通风除尘装置常用检测工具
第三章 通风除尘装置性能检测
一、排风罩性能检测
二、管道性能检测
三、通风机性能检测
四、除尘器性能检测
第四章 通风除尘系统综合效能监测与评估
一、综合效能试验与评估基准值的确定
二、排风罩风量的测定
三、管道风速风量的测定
四、除尘器运行监测与评估
五、通风机运行监测与评估
第五章 监测数据使用管理
一、监测数据使用
二、监测与评估管理
第一章 通风除尘系统的组成
一、通风除尘系统的基本组成
通风除尘系统分为局部通风和全面通风,对于有粉尘污染的车间,一般以局部通风为主。
一个完整的通风除尘系统应包括以下几个过程:
(1)用排气罩(包括密闭罩)将尘源散发的含尘气体捕集;
(2)借助风机通过通风管输送含尘气体;
(3)在除尘设备中将粉尘分离;
(4)将已净化的气体通过烟囱排至大气;
(5)将在除尘设备中分离出来的粉尘输送出去。
因此,在通风除尘系统中的主要设备有排风罩、通风机、管道、除尘器等。在具体情况下,并不是每个系统都具有以上设备,例如直接由炉内排烟气,可以没有排风罩;当在尘源附近设置就地除尘设备时,净化后气体直接排入室内,可以不要管道和烟囱;当利用热压排出热烟气时,可不设风机。但在一般情况下都应有除尘设备,只是根据不同工艺设备及要求不同,需要选择不同的除尘设备。
安全健康小贴士(1)
除尘器按工作原理划分,可分为以下4种:
(1)利用离心力作用将尘粒分离和捕集的旋风除尘器。
(2)利用液滴和颗粒的惯性碰撞及其他作用捕集颗粒的湿式除尘器。
(3)利用纤维滤料制成的袋状过滤元件来过滤和捕集粉尘的袋式除尘器。
(4)利用电晕极产生的电场使尘粒带电,并在静电场的作用下在集尘极将尘粒捕集的静电除尘器。
二、通风除尘系统的验收标准
验收通风除尘系统效果时,需要满足两个要求:
(1)粉尘浓度不超过职业卫生标准限值要求;
(2)通风排气中的污染物浓度达到排放标准限值的要求。
为使通风除尘系统有效运行,改善作业场所环境条件,达到防尘降尘的目的,更好地保护作业人员的安全和健康,国家安全生产监督管理总局组织制定了AQ/T 4271-2015《通风除尘系统运行监测与评估技术规范》。从通风除尘装置性能检测、综合效能监测与评估、监测数据使用管理等方面提出了通风除尘系统运行监测与评估的方法,是存在粉尘危害的企业加强通风除尘系统有效监测,加强职业卫生管理的重要指南。
第二章 通风除尘装置常用检测工具
对通风除尘装置进行检测,应配备的工器具包括:烟雾发生器、热电风速仪等直读式风速仪、皮托管及压力计、粉尘采样装置、分析天平、镊子、温度计、万能表、卷尺、扳手、张力仪、听音器或者轴承检测器、兆欧表、微压计、测试锤或木槌、转速计、钳形电流表等。
烟雾发生器:通过矿物油的蒸发产生烟雾,用于探测气流的流动方向。
热线式热电风速仪:适合风速变化剧烈但风向不变的场合,在0.1~1m/s低风速范围精度更好。
热球式热电风速仪:反应较热线式热电风速仪慢,但稳定性高,且寿命长,适合无方向性,风速0.2m/s以上的场合。
皮托管:一般常用于流速7.5~30m/s,通常在风速12m/s以上才能确保合理测量精度(<3%),易受空气密度影响。
U形管压力计:在U形管中放入一些液体,用来测量气体的动压。
倾斜式压力计(又名微压计):适用于测量微小压力,测量准确。测压差时,较大压力与容器接进嘴相接,较小压力与测量管接进嘴相接,选择合适的角度,平稳后读数。
粉尘采样装置:用来测定除尘器进出口空气中颗粒物浓度,粉尘采样通常用等速采样法。
安全健康小贴士(2)
1.其他常用的直读式风速仪
叶轮式风速计:可测量风速、风量和风温。性能不受大气压力、温度、湿度等条件影响。
指针型风速表:最小测量风速0.25m/s,测量范围大,快速读数。
2.皮托管使用注意事项
在使用皮托管时,它的感受部分应与气流方向一致。皮托管的感受部分与气流的偏斜角一般在±5℃范围内时,对二次仪表读数没有影响。具体数值可通过校准确定。为保证皮托管感受部分的方向正确,在工业应用时,可将皮托管固定于简易坐标架上。此外,还应注意皮托管与风筒间的密封。
第三章 通风除尘装置性能检测
一、排风罩性能检测
排风罩是通风除尘系统中的重要组成部分,主要作用是将尘源散发的粉尘予以捕集,使其不散发到工作区内。按排风罩的形式又可分为密闭罩、排风柜等。排风罩性能检测的主要项目及方法如下:
1.排风罩的结构、磨损、腐蚀、凹陷等情况
(1)检查排风罩的组装状态,确保排风罩结构、尺寸及其连接部位仍保持设计状态。
(2)检查排风罩的表面状态,确保没有如下异常:
①可能导致吸气能力下降的磨损、腐蚀、凹陷以及其他损伤;
②可能导致罩体腐蚀加剧的油漆损坏。
(3)检查排风罩的内部状态,确保没有如下异常:
①罩内存在粉尘或烟尘等堆积物;
②罩口被粉尘或烟尘等堵塞。
2.控制气流的流动状态
(1)检查排风罩罩口,确保罩口周围不存在妨碍气流流动的柱子、墙壁等构筑物。
(2)检查排风罩罩口附近,确保罩口附近的工器具、加工件、材料等均不妨碍气流流动。
(3)启动局部排风装置,用烟雾发生器在排风罩罩口检测烟的流动方向,确保烟雾不滞留、全部进入排风罩。
(4)根据(3)的检查结果,如果烟雾全部进入排风罩,则停止局部排风装置,用烟雾发生器检测控制点气流状态,确保烟雾不流动而停滞在原处。
安全健康小贴士(3)
排风罩罩口风向检测位置
(1)柜式排风罩
根据柜式排风罩的不同形式,按照图1~图3所示确定检测位置。对于柜式排风罩,按罩口断面的大小,把它分成若干个面积相等的矩形。每个矩形的中心处即烟雾流动方向的检测位置,图中相应位置用“・”标示。断面面积大于0.3m2的罩口,可分成9~12个矩形,每个矩形的面积宜小于0.06m2(见图1);断面面积小于或等于0.3m2的罩口,可取6个测点测量(见图2);对于条缝形罩口,在其高度方向至少应有两个测点,沿其长度方向根据其长度可以分别取若干个测点,测点间距小于或等于200mm(见图3)。
其他形式的柜式排风罩,罩口风向测定位置的确定可参照图1~图3。
(2)外部排风罩或接受式排风罩
根据外部排风罩的不同形式,按照图4~图7所示确定检测位置。
图中由“・”连接起来的线,表示距离排风罩开口面最远作业位置的外沿。画“・”处表示检查烟雾流动方向的位置。
其他形式的外部排风罩或者接受式排风罩,罩口风向测定位置的确定可参照图4~图7。
3.接受式排风罩的开口面朝向
检查在常规作业时粉尘的飞散状态,确保无粉尘从排风罩逃逸。常见的两种接受式排风罩的开口朝向如图1~图2。
4.密闭罩内部负压保持情况
开启风机,通风量为设计风量时,测定密闭罩孔口或缝隙处的气流速度。在密闭罩不严密处,气流流入罩内,气流速度应不小于0.4m/s。
安全健康小贴士(4)
1.密闭罩的形式
密闭罩是将尘源或整个设备密闭,使粉尘或有害气体限制在局部范围内,以便对其进行净化处理。设备密闭得越好,吸气量越小,也越经济。密闭罩的形式根据其密闭范围的大小,可分为3种。
(1)局部密闭罩
对局部产尘点进行密闭,产尘设备及传动装置留在罩外,便于观察和检修。罩的容积小,抽风量少,经济性好。适用于含尘气流速度低、连续扬尘和瞬时增压不大的扬尘点。
(2)整体密闭罩
产尘设备大部分或全部密闭,只有传动部分留在罩外。适用于有振动或含尘气流速度高的设备。
(3)大容积密闭罩(密闭小室)
将产尘设备或地点全部密闭在小室内。特点是容积大,适用于多点产尘、阵发性产尘、含尘气流速度高和设备检查频繁的场所。
上述任何一种密闭罩的结构都必须保证尽可能地严密,罩上设置的操作门、观察窗、检修门等要尽量小,并要开关灵活、严密。密闭罩应尽可能避免连接在振动或往复运动的设备上,如必须连接时,应采用强度好的柔性材料。为了工艺操作和检修拆卸方便,密闭罩应尽可能做成装配式的。
2.如何保证密闭罩的密闭性良好?
为了保证密闭罩的密闭性良好,需要封闭轴孔并采用柔性连接。
(1)封闭轴孔
对密闭罩上穿过设备传动轴的孔洞,可用毛毡进行密封。对于水平面上需要经常打开的孔洞可用砂封盖压。
(2)柔性连接
振动或往复移动的部件与固定部件之间,可用柔性材料进行封闭。一般采用挂胶的帆布或皮革、人造革等材料。当设备运转要求柔性连接件有较大幅度的伸缩时,连接件可做成手风琴箱形。
二、管道性能检测
通风除尘系统的排风罩、除尘器、风机等主要设备之间是用通风管道联系起来的。为确保通风除尘系统能安全有效的运行,要做好以下检测检查工作:
1.外表面的磨损、腐蚀、凹陷等情况
目视检查管道外表面状态,重点检查管道分支、变径、转弯等气流变化的部位。对排风管道的分支管道,应从与排风罩的连接处向合流部位的方向检查;对主管道,应沿气流流向检查。确保没有如下异常:
(1)可能造成空气泄漏的磨损、腐蚀、凹陷以及其他损伤;
(2)可能导致腐蚀的油漆损伤;
(3)可能存在增大风阻或者造成粉尘堆积的变形。
2.阀门状态
(1)检查流量调节阀的张开度和固定状态,确保阀门可以按保持装置性能良好的开度固定。
(2)对设有切换阀门的管道系统,应分别使排风罩连接管路处于开放或关闭状态,启动局部排风装置。正常情况下管道处于开放状态时,烟雾被吸入排风罩;管道处于关闭状态时,烟雾不被吸入排风罩。
3.连接部位状态
(1)检查法兰的连接螺栓、螺母及垫圈,确保不存在破损、缺失、松紧不均的情况。
(2)启动局部排风装置,用烟雾发生器检查连接处,确定烟雾不被吸入或吹散。
(3)如果无法进行(2)的检查,则倾听管道连接处,确保没有空气吸入或漏出的声音。
(4)无法进行(2)或(3)的检查时,使用皮托管和微压计通过管道上测孔检测管道内静压,确保管道内的静压值与设计值没有显著差异。
4.检查孔状态
(1)查看检查孔的部件确保无破损、锈蚀、脱落等情况。
(2)查看检查孔的开闭状态,确保开关灵活,密闭性能良好。
(3)用烟雾发生器检查垫圈部位,确保没有烟雾被吸入或吹散的现象。
安全健康小贴士(5)
如何做好除尘系统管道的防腐工作?
管道系统防腐是保证系统正常运行、保证管道使用寿命的重要措施,尤其是输送含有腐蚀性气体的管道系统。防腐的主要方法是采用防腐涂料和防腐材料。
(1)防腐涂料
防腐涂料由主要成膜物质(合成树脂、天然树脂、干性油与合成树脂改性油料)、辅助成膜物质(填料、稀释剂、固化剂、增塑剂、催干剂、改进剂等)和次要成膜物质(着色颜料、防锈颜料)三部分组成。涂料保护又可分为内防腐和外防腐两种。内防腐是为隔离内部腐蚀介质的腐蚀而在管道和设备的内壁用涂料;外防腐是在管道和设备外壁用涂料,以隔离大气中腐蚀介质的腐蚀,并起到装饰作用。使用目的不同,选用涂料的要求亦不相同。
(2)防腐材料
当管道系统输送腐蚀性较大的气体介质时,可以选用防腐材料加工管道和设备。常用的防腐材料有硬聚氯乙烯塑料、玻璃钢和其他复合衬里材料。
硬聚氯乙烯塑料(硬PVC)具有耐酸碱腐蚀性强、物理机械性好、表面光滑、易于二次加工成型、施工维修方便等优点,但其使用温度要求在60℃以下,线膨胀系数大。
玻璃钢质轻、强度高、耐化学腐蚀性优良、电绝缘性好,耐温90~180℃,便于加工成型。但价格较贵,施工时有气味。
此外,还可选用不锈钢板、塑料复合钢板、玻璃钢/聚氯乙烯(FRP/PVC)等复合防腐材料。也可在管道和设备内衬橡胶衬里或铸石衬里。
三、通风机性能检测
通风机是用来连续输送气体的设备。在通风除尘系统中,通风机的作用是从尘源中将含尘气体抽出并通过管道输送到除尘设备,净化后由排气筒排入大气,是通风除尘系统中的重要设备之一。按其工作原理,有离心式通风机和轴流式通风机两种。
通风机的性能可通过检测以下项目确定:
1.防护罩及其连接部位的状态
检查传动皮带防护罩及其连接部位,确保没有磨损、腐蚀、破损及变形,且安装部分无松动。
2.叶轮受腐蚀、磨损的情况
检查叶片表面,确保叶片表面光滑、无孔洞。
3.噪音及振动情况
(1)检查噪音及振动的情况,确保没有异常噪音和振动。振动限值见JB/T 8689。
(2)若通风机振动较大,检查其是否满足静平衡或动平衡要求,确保通风机叶轮达到平衡精度要求。
安全健康小贴士(6)
叶轮不平衡引起的振动,应如何处理?
叶轮在使用中产生不平衡的原因可简要分为两种:叶轮的磨损和叶轮的结垢。一般情况下,处理叶轮结垢,是待风机停机后,用铲子或刷子将结垢处理干净。处理叶轮不平衡的方法,目前多使用动平衡仪,在现场加配重块,使得风机振动参数控制在技术范围内。
4.皮带的状态
(1)检查皮带、皮带轮是否存在损坏、中心偏离、键槽松动等情况。确保没有如下异常:
①皮带损伤;
②皮带与轮槽尺寸不匹配;
③张挂的多根皮带型号不同或者张挂方式不统一;
④皮带轮有结构损坏、中心偏离或者安装位置偏离等现象;
⑤键及键槽松动。
(2)用张力计压下皮带,检查挠度(X),X应满足0.01L<X<0.02L。式中X和L分别代表图3所示部分的长度。
图3 用张力计检查皮带挠度
5.轴承的状态
(1)风机启动状态下,选用下述方法之一检查叶轮轴承的状态。
①将听音器放在轴承上,确保没有异常旋转音。
②将轴承检测器的探头放在轴承上,读取检测值,确保读数在正常范围内。
(2)风机运转1小时以上,停运后,检查叶轮轴承表面温度。轴承温度应不超过70℃,且与周围环境温度差宜小于40℃。
(3)检查润滑油(脂)的量及状态:润滑油规格满足使用要求,油量在规定范围内,品质符合相关规定,且没有混入水、粉尘、金属粉末等。
(4)如有供油装置,试运转2小时后,测量油温和油压,确保油温、油压值在正常范围内。
6.电动机的状态
(1)使用兆欧表,检测线圈与外壳之间、线圈与接地端子之间的绝缘电阻值,确保绝缘电阻足够大。
(2)风机运转1小时以上,用表面温度计测量电动机表面温度。
电动机表面温度应符合GB/T 11021《电气绝缘耐热性和表示方法》的规定。
(3)用测试仪表检测电压和电流值,确保电压和电流值在正常范围内。
7.配电盘的状态
(1)检查配电盘指示灯、外壳及标牌,确保不存在破损、缺失等情况。
(2)检查配电盘的仪表,确保正常、无运转不良的情况。
(3)检查配电盘内,确保没有粉尘堆积。
(4)检查配电盘接线柱,确保没有松动、变色等情况。
(5)接通电源,确保机器运转正常。
8.配线的状态
目视检查导线绝缘,确保不存在过热熔化、磨损、腐蚀及其他损伤。
9.接地线的状态
检查接地端子的接线是否牢固、确保无松动、脱落现象。
10.变频器的状态
(1)对于手动调节的变频器,打开电源,操作调节旋钮,查看频率变化的连续性,确保电源频率调节顺畅。
(2)对于自动调节的变频器,打开电源,查看自动运转情况,确保频率变换顺畅,能够在设定的模式下运行。
四、除尘器性能检测
除尘器是通风除尘系统中的主要设备之一,它的工作好坏将直接影响到排出的粉尘浓度,从而影响周围环境。
(一)除尘器基本检查项目
因除尘原理不同导致除尘器的结构不同,但有一些装置是相同的,如手孔、人孔、泄灰阀、工作门、振动装置、脚撑、安全阀等通用装置。基本的检查项目包括:
1.主体
(1)外壳的状态
目视检查外表面状态,确保没有如下异常:
①外壳存在可能导致粉尘泄漏的磨损、腐蚀、凹陷以及其他损坏。
②外壳存在可能导致腐蚀的涂漆破损。
③存在可能导致除尘器功能下降的粉尘堆积。
④支撑部分松动。
(2)连接管内粉尘堆积状态
检查立管上游粉尘容易堆积的部位。管道为钢制且管壁较厚的,可用测试锤敲击管道外表面,检查敲击音;管道为钢制且管壁较薄的,或树脂材质的,需用木槌轻轻敲击管道的外表面,检查敲击音。确保没有因粉尘堆积而导致异常敲击音。
(3)检查孔状态
①查看检查孔的部件,确保无破损、锈蚀、脱落等情况。
②查看检查孔的开闭状态,确保开关灵活,密闭性能良好。
③用烟雾发生器检查垫圈部位,确保没有烟雾被吸入或吹散的现象。
2.排放装置
(1)检查灰斗、卸灰阀等外表面的状态,确保没有如下异常:
①存在可能导致粉尘泄漏的磨损、腐蚀或破损。
②存在可能导致腐蚀的涂漆损坏。
③存在可能导致粉尘堆积的变形。
(2)对于设有检查孔的灰斗,打开检查孔检查灰斗内部状态。确保没有如下异常:
①存在可能导致粉尘泄漏的磨损、腐蚀或破损。
②存在可能导致腐蚀的涂漆损坏。
③存在可能导致除尘器效率下降的粉尘堆积。
(3)对没有检查孔的灰斗,使用测试锤轻轻敲击灰斗外表面,检查敲击音,确保没有因粉尘堆积而导致异常敲击音。
(4)启动排放装置,确保粉尘能够顺畅排出,没有因运转不良引起异常声音与异常振动。
3.安全装置
按照设计说明书,检查安全阀、防火阀、联锁装置等安全装置是否齐全有效。确保安全装置齐全,均能够实现预定的功能。
安全健康小贴士(7)
1.预防除尘器设备磨损应采取的措施
由于高速含尘气体对除尘器设备内壁的强烈冲刷,除尘器的壳体、阀门或者管道极易被磨损,特别是旋风除尘器的蜗壳和锥体部分的磨损更为严重。解决磨损问题,可以有多种途径。
(1)选取合适的除尘管道流速和壁厚,增加其抗磨损能力。
(2)对于除尘器,可采用耐磨损材料(如花岗岩、陶瓷等)制作除尘器本体,如麻石水膜除尘器和陶瓷多管旋风除尘器等。
(3)针对磨损性大的粉尘,最好在易于磨损的部位,如管道的弯头、旋风除尘器的内壁等敷设耐磨损涂料或采用耐磨损内衬的方法来解决。内衬除采用一般的耐磨涂料外,还可以采用铸石、瓷砖、铸铁等材料。
2.净化有爆炸危险粉尘的除尘器应符合的条件
(1)含有燃烧和爆炸危险粉尘的空气,在进入排风机前应采用不产生火花的除尘器进行处理。
(2)对于遇水可能发生爆炸的粉尘,严禁采用湿式除尘器。
(3)处理有爆炸危险粉尘的除尘器应与普通型除尘器分开设置,并按单一粉尘分组布置。
(4)净化有爆炸危险粉尘的干式除尘器和过滤器宜布置在厂房外的独立建筑内,建筑外墙与所属厂房的防火间距不应小于10m。具备连续清灰功能,或具有定期清灰功能且风量不大于15000m3/h、集尘斗的储尘量小于60kg的干式除尘器和过滤器,可布置在厂房内的单独房间内,但应采用耐火极限不低于3.00h的防火隔墙和1.50h的楼板与其他部位分隔。
(5)净化有爆炸危险粉尘和碎屑的除尘器、过滤器,均应设置泄压装置。净化有爆炸危险粉尘的干式除尘器和过滤器应布置在系统的负压段上。
(二)各类除尘器特殊检查项目
为使除尘工作达到预期效果,必须根据粉尘性质、浓度、要求净化程度、经济条件等因素,合理、正确地选用除尘器。针对不同的除尘器,除依据基本检查的内容外,还有一些需要特殊检查的内容。
旋风除尘器
1.检查旋风除尘器排尘口的密封状态,启动旋风除尘器,用烟雾发生器检查排尘口,确保烟雾不被吸入。
2.检查圆锥体的磨损、腐蚀、破损及粉尘的堆积状态。
(1)用测试锤轻轻敲击圆锥体的外表面,检查敲击音,确保没有因粉尘的堆积、附着等引起的异常声音。
(2)对于处理具有磨损性或腐蚀性粉尘的旋风除尘器,除检查敲击音外,还应对焊缝进行目视检查。确保没有下述异常:
①因筒壁磨损引起敲击音异常。
②焊缝沿线有孔隙或腐蚀。
袋式除尘器
1.检查滤袋
(1)测定滤袋前后的压差,确保其在设计值范围内。
(2)定期测定除尘器出口管道内气体含尘浓度,确保其数值小于国家规定排放限值(含尘质量浓度小于30mg/m3)。
(3)定期打开除尘器检查滤袋,确保滤袋完整、无破损、无结露现象。
(4)检查滤袋的安装状态,确保其安装正确,无脱落、松动。
2.检查清灰装置
(1)检查脉冲式喷吹装置的状态
①目视检查压缩空气供应设施,寒冬季节,应检查管道内是否有结冰、阀门是否有被冻住的情况,管道接头是否存在空气泄漏,储气罐的冷凝水积存是否异常,压力调节器显示是否异常等。
②目视检查电磁阀工作状态指示灯,确保指示灯能准确反映电磁阀的工作状态。
③启动喷吹电磁阀,倾听有脉冲的吹鸣音为正常。
④关闭电磁阀,确保无空气泄漏的声音。
(2)检查机械式振打装置的状态
①检查机械结构,确保没有可能导致振打功能下降的磨损、腐蚀、破损及变形。
②启动振打装置,确保其运转顺畅,没有异常振动和异常声音。
(3)检查反吹风装置的状态
①按通风机性能检查的方法检查反吹风通风机。
②检查反吹风切换挡板(三通阀)的状态。确保切换挡板运转正常,且挡板处无空气泄漏。
③检查反吹风的风量、风压及含水量,确保其在设计值范围内。
3.检查空气压缩机
(1)检查空气压缩机,确保计量仪表没有异常,压缩空气压力在设计值范围内。
(2)检查接水盘,确保冷凝水没有异常积存。
安全健康小贴士(8)
1.磨损性强的粉尘该如何选择滤料?
除尘器滤料的磨损部位与形式多种多样,根据经验,滤袋磨损多在下部,这是因为滤袋上部滤速低,气体含尘浓度小的缘故。
对于磨损性强的粉尘,选用滤料应注意以下3点。
(1)化学纤维优于玻璃纤维,膨化玻璃纤维优于一般玻璃纤维,细、短、卷曲型纤维优于粗、长、光滑型纤维。
(2)毡料中宜用针刺方式加强纤维之间的交络性,织物中以缎纹织物最优,织物表面的拉绒也是提高耐磨性的措施,但是毡料、缎纹织物和起绒滤料会增加阻力值。
(3)对于普通滤料表面涂覆、压光等后处理也可提高耐磨性。对于玻璃纤维滤料、硅油、石墨、聚四氯乙烯树脂处理可以改善耐磨、耐折性。但是覆膜滤料用于磨损性强的工况时,膜会很快磨坏,失去覆膜作用。
2.袋式除尘器的清灰方式
袋式除尘器的清灰方式应根据工程条件确定,宜采用脉冲喷吹、反吹风清灰方式,也可以采用机械振打、复合清灰方式,并应符合下列规定:
(1)潮湿多雨地区不宜直接采用大气作为反吹风气源;
(2)混入空气易引起除尘器内燃烧或爆炸时,不宜采取空气作为清灰用气体;
(3)分室数量大于或等于4的反吹类袋式除尘器宜采用离线清灰方式。
电除尘器
1.检查安全装置的状态
(1)检查主体部分、绝缘子室人孔门上设置的电气联锁装置,确保其功能齐全、有效。
(2)检查人孔门合页的安装状态,确保其无腐蚀、变形及破损等情况。
2.检查放电极、集尘极、整流板及其安装部分,确保没有可能导致放电极、集尘极、整流板功能下降的磨损、腐蚀、破损、变形,以及粉尘的异常黏附,且安装部分无松动。
3.检查振打装置的状态
(1)检查放电极和集尘极的振打装置及其安装部分,确保没有可能引起振打装置功能下降的磨损、腐蚀、破损、变形以及粉尘等的异常黏附,安装部分无松动,且安装位置没有发生变化。
(2)启动振打装置,确保其运转顺畅,没有异常振动及异常声音。
(3)检查轴承润滑油(脂),确保润滑油规格满足使用要求,油量在规定范围内,品质符合相关规定,且没有混入水、粉尘、金属粉末等。
(4)检查振打装置的绝缘子状态,确保没有污损严重、龟裂、固定螺栓松动等异常现象。
4.检查湿式电除尘器收尘极、喷嘴状态确保收尘极无腐蚀,表面可以形成均匀的水膜,且喷嘴喷出的清洗液雾化状态良好。
5.检查绝缘子和绝缘子室的状态,确保没有污损、破损、老化等情况,检查绝缘子表面防污闪油(脂)、涂料状态,确保防污闪油(脂)无污损和老化现象,涂料无起皮、粉化、龟裂与脱落现象。
6.检查供电部分的绝缘棒、绝缘子,确保没有可能导致供电部分功能下降的污损、破损、老化等情况;检查各端子及其安装部分的状态,确保没有可能导致供电部分功能下降的腐蚀、破损、烧损等,且安装部分无松动。
7.检查电源装置控制板的电压与电流,确保其数值在正常范围内。
安全健康小贴士(9)
影响电除尘器性能的因素有哪些?
影响电除尘器性能的因素很多,大体归纳为以下三个方面:
(1)烟尘(气)性质。烟尘(气)性质包括烟气种类、组成、温度、压力、湿度及流速等;粉尘的性质主要是粉尘的化学成分和物相结构,如粉尘的比电阻、粉尘浓度、分散度、粘度和密度等。
(2)设备状况。电除尘器的极配形式、电场划分情况、振打清灰方式及振打制度、气流分布均匀程度、电气控制特性等。
(3)操作条件。包括操作电压、比电流、电极清灰效果、漏风及二次扬尘等。
湿式除尘器
1.分离部分
(1)检查文氏管除尘器的文氏管的状态。
启动文氏管除尘器,测量文氏管前后的压差,确保其数值在设计值范围内;无法检查文氏管前后压差时,计算喉管气流速度,确保其数值在正常范围内;
将引水装置(喷雾器)拆分,检查其状态,确保没有网眼堵塞或可能造成文氏管功能下降的磨损、腐蚀、破损及变形。
(2)检查填料洗涤式、漏板塔式除尘器的填料、栅板、栅格的状态。
检查填料的状态,确保没有堵塞或破损,且填料填充量在设计值范围内。
检查栅板、栅格的状态,确保没有网眼堵塞、磨损、腐蚀、破损及变形。
(3)检查填料洗涤式除尘器喷嘴的状态。
检查喷嘴的滤网状态,确保没有滤网堵塞、磨损、腐蚀、破损及变形。
无法检查喷嘴滤网状态时,启动除尘器,检查喷嘴运转状态,当喷嘴喷洒的清洗液成雾状时,说明雾化状态良好。
(4)检查泡沫除尘器筛板与泡沫状态。
检查筛板上气泡生成状态,确保气泡均匀,且水面没有剧烈震荡,而且外壳没有律动。无法进行上述检查的,检测筛板前后的压差,同时检查水层高度,确保其数值在设计值范围内。
检查筛板孔洞状态,确保没有孔洞堵塞、磨损、腐蚀、破损及变形。
(5)检查脱水器状态
检查脱水器网眼状态,确保没有网眼堵塞、磨损、腐蚀、破损及变形。无法检查脱水器网眼的,测量脱水器前后的压差,确保其在设计值范围内。
安全健康小贴士(10)
为什么要在湿式除尘器出口设置脱水器?
几乎所有的湿式除尘器中,都有不同程度的水雾被净化后的气体携带的现象,携带水雾的多少取决于设备断面的流速及除尘器中的雾化方式。
为了使水雾不被带出,在湿式除尘器的出口要设置脱水器。在某些湿式除尘器中,脱水器直接影响到除尘效率的高低。例如,文丘里除尘器中,文氏管主要起凝聚作用,而已凝聚的含尘水滴依靠脱水器来清除,达到必需的除尘效率。此外,如果不设置脱水器或脱水器工作不良,净化气流将携带大量水滴直接进入通风除尘系统,从而造成管道堵塞,增加管道和阀门的维修量,还会影响风机的正常工作和使用期限。
脱水器一般有两种设置方式。一是设置在除尘器内部,成为除尘器的一部分,如水浴除尘器上部的挡水板;另一种是设置在除尘器外部,成为单独设备,如文丘里除尘器的旋风脱水器。
2.泵
(1)检查泵的状态。
检查泵表面的状态,确保不存在外壳腐蚀、破损及清洗液泄漏的现象。
启动泵,确保旋转方向正确,无异常振动。
(2)检查轴承的状态。
检查方法同通风机轴承性能的检查。
安全健康小贴士(11)
轴承的状态检查方法如下:
1)风机启动状态下,选用下述方法之一检查叶轮轴承的状态。
①将听音器放在轴承上,确保没有异常旋转音。
②将轴承检测器的探头放在轴承上,读取检测值,确保读数在正常范围内。
2)风机运转1小时以上,停运后,检查叶轮轴承表面温度。轴承温度应不超过70℃,且与周围环境温度差宜小于40℃。
3)检查润滑油(脂)的量及状态:润滑油规格满足使用要求,油量在规定范围内,品质符合相关规定,且没有混入水、粉尘、金属粉末等。
4)如有供油装置,试运转2小时后,测量油温和油压,确保油温、油压值在正常范围内。
(3)检查压力及流量。
通过泵本体压力计和流量计测定压力和流量,确保其数值在设计值范围内。
3.清洗液管道
(1)检查旁通阀、阀门、过滤器以及软连接接头的状态,确保没有如下异常:
管道存在可能导致清洗液泄漏的磨损、腐蚀及破损;
存在可能导致腐蚀的涂漆损坏;
存在可能导致除尘器效率下降的淤渣附着;
过滤器滤网堵塞。
(2)检查旁通阀及阀门的运转状态,确保其运转顺畅,无异常声音。
4.水封部分
检查水封部分的状态,确保没有可能导致水封功能下降的网眼堵塞、磨损、腐蚀、破损及变形。
检查清洗液的液面高度,确保其在正常范围内。
检查是否有空气从水封部位吸入或漏出。
5.废液部分
检查排污阀状态,确保无泄漏问题;检查废液,确保没有因污水外泄等引起环境污染。
第四章 通风除尘系统综合效能监测与评估
通风除尘系统施工完毕后,正式运行前,要通过测试对系统各分支管的风量进行调整。对于已经运行的通风系统,通过测试可以了解运行情况,发现存在的问题。设计新车间时,为收集原始资料和有关数据,也需要进行现场测定。
一、综合效能试验与评估基准值的确定
通风除尘系统交工前,应进行带生产负荷的综合效能试验与调整。
1.通风除尘系统带生产负荷的综合效能试验与调整,应在已具备生产试运行的条件下进行,由建设单位负责,设计、施工单位配合。
2.通风除尘系统综合效能试验可包括下列项目:
(1)室内空气含尘浓度与排放浓度的测定;
(2)排气罩流量、静压等气流特性的测定;
(3)除尘器阻力和除尘效率的测定;
(4)其他需要测定的项目。
3.通风除尘系统综合效能达到预期目标后,应对设备状况、规格参数、技术指标、运行参数等内容进行整理,建立通风除尘系统技术档案,并将系统达到设计功能的运行参数(现场检测值)作为通风除尘系统运行监测与评估的基准值。
4.通风除尘系统技术档案至少应包括以下内容:
(1)标有测点位置与节点的通风除尘系统图;
(2)排风罩流量和静压记录表;
(3)大气环境数据表;
(4)各测点静压、流量的设计数据、基准数据表;
(5)平衡状态下,调节阀门状态数据表;
(6)除尘器阻力测定记录表;
(7)通风机规格参数相关资料;
(8)除尘装置规格参数相关资料。
安全健康小贴士(12)
1.通风系统监测与评估的步骤
(1)收集初始数据,包括风速和静压,即为“基准值”。
(2)获得系统管路的静压和气流速度的测量值,即为“监测数据”。
(3)通过监测数据和基准值的对比,确认是否达到了系统设计值。
(4)静压测量值与基准值的偏差在20%以上,作为系统性能恶化的早期预警。
(5)在通风系统启动状态下,进行定点采样或个体采样。通风系统在设计参数下工作,作业人员暴露浓度应该低于国家职业接触限值。
2.测孔位置设置的原则
一般通风除尘系统上有温度测孔、湿度测孔、风量风压测孔和粉尘浓度测孔。测孔设置位置一般是:
(1)除尘系统管道上,主要测定管道的压力分布和风量大小,以便对系统风量进行调整;
(2)风机前后的总管上,主要用于测定风机性能和工作状态,如风量、风压等;
(3)除尘器前后,主要用于测定除尘器的技术性能,如设备漏风率、风量分配等;
(4)吸尘罩附近,主要是测定吸尘点抽风量、初始含尘浓度和吸尘罩内的负压;
(5)排放口,主要用于测定净化后气体的排放浓度;
(6)由于气流经弯头、三通等局部管件时会产生涡流,使气体极不稳定,因此测孔必须远离这些部件而选在气流稳定段,这个位置一般应在这些部件前面4倍管径和部件后2倍管径的位置。当位置有限制时,应在测孔内增加测定点。
以上几种测孔,最好同时设置,温度测孔、湿度测孔和风量风压测孔的孔径一般为50mm,粉尘浓度测孔一般为75~100mm;当风道直径大于500mm,风量风压测孔应在同一横断面上互相垂直的两个方向上设孔。
3.检测类别和频次
(1)两个检测频度等级
排风罩级:除尘器阻力、排风罩静压、可能容易堵塞点的静压,一般一个月测一次。
系统级:系统性能检测应该每年一次。
(2)特殊情况下增加检测频次
增加检测频次的情况包括:设备变更时;存在频繁的泄漏或堵塞问题;有害物质为高毒物质,并且缺少警示性属性;系统零部件维修之后等。
二、排风罩风量的测定
(一)排风罩风量测定方法
排风罩风量的测定方法有罩口风速测定法、排风罩连接风管内平均风速测定法和静压推算法三种,这里重点介绍罩口风速测定法。
按照GB/T 16758的规定,罩口风速测定法测风量有两种测定手段。
1. 匀速移动法
匀速移动法是利用叶轮式风速仪测定风速,适于测定风速范围为0.3~40m/s。
测定方法:对于开口面积小于0.3m2的排风罩口,可将风速仪沿整个罩口断面按图4所示的路线慢慢地匀速移动,移动时风速仪不得离开测定平面,此时测得的结果是罩口平均速度。此法最少进行三次,取其平均值,每次测定误差应在±5%以内。
2. 定点测定法
定点测定法是利用热电式风速计测量风速。测定方法:
(1)对于矩形排风罩,按罩口断面的大小,将其分成若干个面积相等的小块,在每个小块的中心处测量其气流速度。
断面面积>0.3m2的罩口,可分成9~12个小块测量,每个小块的面积宜小于0.06m2,如图5 a)所示。
断面面积≤0.3m2的罩口,可取6个测点测量,如图5 b)所示。
图5 矩形排风罩罩口断面检测点示意图
(2)对于条缝形排风罩,在其高度方向至少应有两个测点,沿条缝长度方向根据其长度可以分别取若干个测点,测点间距小于或等于200mm,如图6所示。
图6 条缝形排风罩罩口检测点示意图
(3)对于圆形排风罩,至少取4个测点,测点间距小于或等于200mm,如图7所示。
图7 圆形排风罩检测点示意图
这种测量方法最少测定三次,罩口风速为至少三组数据分别求得风速的平均值。排风罩罩口平均风速按下式计算:
(二)排风罩运行监测
1.通风系统运行过程中,应定期检测排风罩的排风量与静压值。排风罩的排风量与相应基准值的允许偏差不应大于10%,或者排风罩静压值与相应基准值的偏差不应大于20%。
2.初次测定时,若排风罩连接的管道较短,不能满足排风罩连接风管内平均风速测定法对断面的选择要求时,应采用罩口风速测定法进行测定,获得排风罩控制风速、罩口风速及排风量等参数,并将其作为基准值。
三、管道风速风量的测定
管道内气流速度应合理地确定。气速太小,气体中的粉尘易沉积,严重的会破坏除尘系统的正常运行。气速太高,压力损失(风管阻力)会成平方增大,电能消耗也增大,粉尘对管壁的磨损加剧,使管道的使用寿命缩短。
垂直管道内的气流速度应小于水平和倾斜管道的气速,水平和倾斜管道内的气流速度应大于最大尘粒的悬浮速度。在除尘系统中,管道内各截面的气速是不等的,气体在管道内的分布也是不均匀的,并存在涡流现象,同时,还应能够吹走风机前次停转时沉积在管道内的粉尘。因此,一般实际采用的气速要比理论计算的气速大2~4倍,甚至更大。
(一)管道风速、风量的测定步骤
1.选择测定断面。
2.测量测定断面所在管道的外部尺寸。
3.获取或测量管道壁厚,计算管道通流面积。
4.在皮托管上标记测量辅助用点,用橡胶软管连接皮托管和压力计。在测量前需确认仪表是否归零位。
5.把皮托管插入管道内部,探头迎风放置。
6.径向前后移动,调节皮托管的插入深度。在规定测点测量并记录风速的测量值。如果仪器非风速直读型,需将动压值转化为速度值,进而求取风速平均值。测量时,必须在不少于15s的时间内对每一个测点取一个好的目测平均读数。
安全健康小贴士(13)
测量通风管道内气体压力,常用哪些测压管?
测量通风管道内气体压力,常用的测压管是L形皮托管、数字式压差计。
数字式压差计是利用压力敏感元件将被测压力转换成各种电量,如电阻、频率、电荷量等来实现测量的。该方法具有较好的静态和动态性能,量程范围大、线性好,便于进行压力的自动控制,尤其适合用于压力变化快的高真空、超高压的测量。主要有压电式压差计、电阻式压差计、振频式压差计等。
(二)通风管道运行监测
1.通常设计除尘系统管道时,为了防止粉尘沉降,除尘风管中应保持输送粉尘所必须的最低风速。通风除尘管道内风速应不低于表1的最小风速值。
表1 除尘风管的最小风速(m/s)
粉尘类别 | 粉尘名称 | 垂直风管 | 水平风管 |
纤维粉尘 | 干锯末、小刨屑、纺织尘 | 10 | 12 |
木屑、刨花 | 12 | 14 | |
干燥粗刨花、大块干木屑 | 14 | 16 | |
潮湿粗刨花、大块湿木屑 | 18 | 20 | |
棉絮 | 8 | 10 | |
麻 | 11 | 13 | |
矿物粉尘 | 耐火材料粉尘 | 14 | 17 |
粘土 | 13 | 16 | |
石灰石 | 14 | 16 | |
水泥 | 12 | 18 | |
湿土(含水2%以下) | 15 | 18 | |
重矿物粉尘 | 14 | 16 | |
轻矿物粉尘 | 12 | 14 | |
灰土、砂土 | 16 | 18 | |
干细型砂 | 17 | 20 | |
金刚砂、刚玉粉 | 15 | 19 | |
金属粉尘 | 钢铁粉尘 | 13 | 15 |
钢铁屑 | 19 | 23 | |
铅尘 | 20 | 25 | |
其他粉尘 | 轻质干粉尘(木工磨床粉尘、烟草灰) | 8 | 10 |
煤尘 | 11 | 13 | |
焦炭粉尘 | 14 | 18 | |
谷物粉尘 | 10 | 12 |
2.在通风管道的测量位置,使用皮托管和压力计定期测定气流的静压值,并做好记录。若通风系统具有自动测定装置,该系统应有自动记录的功能。
安全健康小贴士(14)
除尘系统风管的布置原则
1.除尘系统的排风点不宜过多,以利各支管间阻力平衡。如果排风点多,可采用大断面集合管连接各支管,集合管内流速不宜超过3.0m/s,集合管下部设卸灰装置。
2.风管应尽可能垂直或者倾斜敷设,倾斜敷设时与水平面夹角最好大于45°,如必须水平敷设或倾角小于30°时,应采取措施,加大流速、设清扫口等。
3.输送含有蒸汽、雾滴的气体时,如表面处理的排风管道,应有不小于5‰的坡度,以排除积液,并应在风管的最低点和风机底部装设水封泄液管。
4.排除含有剧毒物质的正压风管,不应穿过其他房间。
5.风管上应设置必要的调节和测量装置(如阀门、压力表、温度计、风量测定孔和采样孔等)或预留安装测量装置的接口。调节和测量装置应设在便于操作和观察的地点。
6.风管的布置应力求顺直,避免复杂的管件部件。弯头、三通等管件要安排得当,与风管的连接要合理,以减小阻力和噪声。
四、除尘器运行监测与评估
除尘器性能测定主要是指效率和阻力的测定,通常还包括处理风量和漏风率的测定。
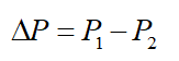
(一)风量和阻力的测定
在测定除尘器风量时,应同时测定其进口和出口的风量,以检查除尘器和连接处是否漏风。如果发现漏风量不符合测定标准规定,应采取措施消除漏风后再进行测定。
除尘器阻力测定可按标准规定布置测点,测定除尘器进出口断面的全压差即为除尘器阻力:
(二)除尘器效率测定
除尘效率的常用测定方法有重量法和浓度法。
1.重量法测定
在实验室试验时,一般用重量法测定除尘器的全效率:
式中,——除尘器收集到的灰尘量,g;
——除尘器入口处的喂尘量,g。
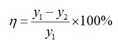
2.浓度法测定
在现场测定时,由于条件有限,常用浓度法测定除尘器全效率:
式中,y1为进口粉尘浓度;y2为出口粉尘浓度
实践中,除尘系统往往会有少量漏风,计算除尘效率时,还要考虑消除漏风对测定结果的影响。
(三)除尘器运行监测与评估
1.工业企业应定期测定袋式除尘器的过滤风速。采用脉冲喷吹清灰方式时,过滤风速不宜大于1.0m/min;采用其他清灰方式时,过滤风速不宜大于0.6m/min。
2.工业企业应定期测定除尘器的效率、阻力及漏风率,并应符合系统设计要求。
3.除尘效率、阻力和漏风率的测定。
袋式除尘器、电除尘器、湿式除尘器的除尘效率、阻力和漏风率的测定方法,应分别按照GB/T 6719、GB/T 13931和GB/T 15187的规定执行。旋风除尘器除尘效率、阻力和漏风率的测定方法可参照GB/T 6719的规定执行。
安全健康小贴士(15)
1.在考虑除尘器的除尘效率时应注意哪些问题?
在考虑除尘器的除尘效率时,一般来说应注意以下几方面:
(1)排放标准和除尘器进口含尘浓度
在通风除尘系统中设置除尘器的目的主要是为了保证排入大气的气体含尘浓度能够达到排放标准规定的要求。因此,排放标准是选用除尘器的首要依据。
根据排放标准和除尘器进口含尘浓度,可确定除尘器必须达到的最低除尘效率。不同的进口含尘浓度对除尘器将有不同的效率要求。进口含尘浓度越高,所要求的除尘效率也越高。因此,除尘器进口含尘浓度(可取除尘系统的起始含尘浓度)是选用除尘器的重要依据。在单级除尘不能满足排放要求时,可采用多级除尘。
(2)粉尘的性质和粒径分布
粉尘的性质对除尘器的性能有较大影响。例如,黏性大的粉尘容易黏结在除尘器表面;水硬性或疏水性粉尘不宜采用湿法除尘;处理磨琢性粉尘时,旋风除尘器内壁应衬垫耐磨材料,袋式除尘器应适当降低过滤风速或采取斜向入口形式,利用惯性使粗颗粒粉尘直接落入灰斗,从而减少对滤袋的磨损。
不同除尘器对不同粒径的粉尘的除尘效率是完全不同的,同一除尘器对不同粒径的粉尘的除尘效率也是不同的,选择除尘器时必须了解处理粉尘的粒径分布和除尘器的分级效率,这样才能比较准确地计算除尘器的全效率。
(3)气体的含尘浓度
气体的含尘浓度较高时,可在电除尘器或袋式除尘器前设置低阻力的初净化设备,除去粗大尘粒,以利于除尘器更好地发挥作用,例如,降低除尘器入口的含尘浓度,可提高袋式除尘器的过滤风速,防止电除尘器产生电晕闭塞,对湿式除尘器则可以减少泥浆处理量,节省投资和减轻工人劳动强度。
(4)气体的温度和性质
对于高温、高湿的环境不宜采用袋式除尘器。如果空气中同时包含有害气体,可以考虑采用湿式除尘器,但是必须注意防腐问题。
2.旋风除尘器漏风
除尘器一旦漏风将严重影响除尘效率,据估算,旋风除尘器下锥体或卸灰阀处漏风1%,除尘效率下降5%;漏风5%,除尘效率下降30%;可见漏风对除尘器影响之大。防止漏风是除尘器运行管理的重要环节。
旋风除尘器可能发生漏风的部位有三处:除尘器进、出口连接法兰处;除尘器本体;除尘器卸灰装置。
引起漏风的原因如下:
①除尘器进出口连接法兰处的漏风主要是由于连接件使用不当引起的,例如螺栓没有拧紧、垫片不够均匀、法兰面不平整等。
②除尘器本体漏风的原因主要是磨损,对旋风除尘器本体而言,磨损会经常发生,特别是下锥体因为含尘气流在旋转或冲击除尘器本体时磨损特别严重。根据现场经验,当气体含尘质量浓度超过10g/m3,在不到100天时间里可能磨坏3mm 厚的钢板。
③旋风除尘器卸灰装置漏风是除尘器漏风的又一个重要方面。卸灰阀多用于机械自动式(如重锤式)等,这些阀严密性较差,容易出现漏风。
3. 袋式除尘器的选用
对于含尘粒径在0.1μm以上、温度在250℃以下,且含尘浓度低于50g/m3的废气的净化宜选用袋式除尘器。选用袋式除尘器时,其性能参数应符合下列规定:
(1)袋式除尘器的除尘效率应满足污染物达标排放或除尘工艺对除尘器的技术要求。除尘器的总效率宜根据实际处理的粉尘的粒径分布及质量分布、除尘器分级效率计算确定。
(2)袋式除尘器的运行阻力宜为1200~2000Pa。
(3)袋式除尘器过滤风速应根据气体和粉尘的类型、清灰方式、滤料性能等因素确定。采用脉冲喷吹清灰方式时,过滤风速不宜大于1.0m/min;采用其他清灰方式时,过滤风速不宜大于0.6m/min。
(4)袋式除尘器的漏风率应小于4%,且应满足除尘工艺的要求。
五、通风机运行监测与评估
通风除尘系统所用的风机是根据系统所需要的风量和系统阻力来选择的,但在实际运行中,通常达不到风机铭牌上规定的性能参数。为了了解风机在系统中的实际运行情况,检验风机的性能是否符合设计要求,需要测定通风机的风量、全压及转速,对照风机特性曲线,衡量风机的实际工况与设计工况的差距,判断其是否满足系统设计要求。
(一)风机的性能测试
1.在风机进出口适当的位置安装测试孔。
2.标定工况条件下风机的最大和设计风量,观察风机风门的变化对风量的影响,注意避开喘振点。
3.测量风机动压、静压、温度、大气压、气体吸湿量、风机马达电流及风机转速。
4.依据测试结果计算风量、功率、效率等,为风机经济高效运行提供有关数据。
(二)风机的特性曲线
通风系统工作的动力来自风机,对于特定的风机即便转速相同,在不同的系统中,它所输送的风量也可能不同。通风系统风压损失小时,输送的气体量就大;反之,系统的风压损失大时,输送的气体量就小。为了全面评定风机的性能,就必须了解在各种工况下风机的风量L、风压H、功率N和效率n之间的关系,这些关系就形成了通风机的特性曲线。图8所示即某一特定风机在某一转速下的通风特性曲线。
图8 通风机的特性曲线
如图8,一定的风量对应于一定的风压、功率和效率。为保持风机的高效运行,对于一定的风机类型,有一个经济使用范围。
(三)风机性能的影响因素
通风机的特性曲线是在一定条件下产生的。当风机转速,叶轮直径和输送气体的密度改变时,对风压、功率及风量都会有影响。所以选择风机和运行风机时要考虑上述因素对风机性能的影响。
(四)通风机在除尘系统中的工作
通风机容量是按照工艺设备所需最大风量选择的,但实际生产运行时设备所需的风量时大时小。因此,根据运行所需调节风机的风量是实现风机节能运行的常用方法,通常有以下3种方式:
1.减少或增加管网系统的阻力损失。压力的改变使管网特性改变,因此风量会随着压力的改变而沿着特性曲线变动。
2.更换风机,提供满足要求的风量。
3.改变风机叶轮转带。例如,可以改变带轮的转速比,采用液力耦合器、变频调速器,改换变速电机。
安全健康小贴士(16)
通风除尘系统中阻力的变化取决于哪些因素?
通风除尘系统中阻力的变化主要取决于以下因素:
(1)风罩处于断开状态;
(2)污染物沉积造成管道堵塞;
(3)阀门开度的非计划性改变;
(4)存在漏风部位(长期影响);
(5)调节阀门的开度、除尘器阻力的周期性变化以及连接移动式风罩复杂管道的走向等(短期影响)。
2.如何选择通风机?
通风机应根据管路特性曲线和风机特性曲线进行选择,其性能参数应符合下列规定:
(1)通风机的风压应在系统计算的总风量上附加风管和设备的漏风量,通风机的压力应在系统计算的压力损失上附加10%~15%;
(2)当计算工况与风机样本标定状态相差较大时,应将风机样本标定状态下的数值换算成风机选型计算工况风量和风压;
(3)风机的选用设计工况效率不应低于风机最高效率的90%;
(4) 采用定转速通风机时,电机轴功率应按工况参数计算确定;采用变频通风机时,电机轴功率应按工况参数计算确定,且应在100%转速计算值上再附加15%~20%;通风机输送介质温度较高时,电动机功率应按冷态运行进行附加。
3.通风系统的防火防爆
通风系统发生爆炸是空气中的可燃物达到了爆炸浓度极限,同时遇到电火花、金属碰撞引起的火花或其他火源而造成的。设计有爆炸危险的通风系统时,应注意:
(1)系统的风量除了满足一般的要求外,还应校核其中可燃物的浓度,如果可燃物浓度在爆炸浓度的范围内,则应加大风量。
(2)防止可燃物在通风系统的局部地点(死角)积聚。
(3)选用防爆风机,并采用直联或联轴器传动方式。如果采用三角皮带传动,为防止静电产生火花,可用接地电刷把静电引入地下。
(4)有爆炸危险的通风系统,应设防爆门。当系统内压力急剧升高时,靠防爆门自动开启泄压。
第五章 监测数据使用管理
一、监测数据使用
根据管道内测得的一系列静压值,绘制静压值曲线,通过静压曲线图找出系统性能变化规律。对监测到的异常情况进行分析、研究,查找系统存在的问题。
二、监测与评估管理
1.企业应合理确定系统运行参数测定范围与频次,并建立定期检测评估制度。
2.企业应至少每年一次由专业技术人员对通风除尘系统进行综合评估,并针对存在的问题提出改善措施。
3.通风除尘系统技术档案与综合评估报告应归档留存,为系统后续运行调控及有关部门的监督管理提供参考。
